All these conditions are illustrated in Figure 3-5 for the variation of temperature over 1 day at New York/John F. Ke., on the 1
st of June.

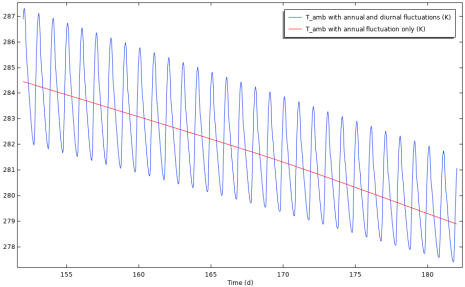
When diurnal temperature and relative humidity fluctuations have a low impact on the studied system, the Filter diurnal variation checkbox can be selected to smooth out the diurnal fluctuations. This is illustrated in
Figure 3-6 showing the variation of temperature over 1 month at New York/John F. Ke.,

Here, ΔTwind (SI unit: K) is an additive correction applied to
〈Tstation〉, defined as
where ΔTws,station (SI unit: K) and
ΔTwd,station (SI unit: K) are, respectively, the maximal variations of observed values of temperature correlated with a set of wind speed and direction observed values.
The heating and cooling wind correlations are illustrated in Figure 3-7 for the variation of temperature over 1 day, at New York/John F. Ke., on the 1
st of June.

All these conditions are illustrated in Figure 3-8 for the variation of the dew-point temperature over 1 year at New York/John F. Ke.

All these conditions are illustrated in Figure 3-9 for the variation of the wind speed over 1 year at New York/John F. Ke.

where pstation (SI unit: Pa) is the observed value of absolute pressure at the station. Only a single value is available, so this data does not vary with time.
The relative humidity ϕamb (dimensionless) is computed from the temperature
Tamb and the dew-point temperature
DPTamb with the following relation:
where psat(
Tamb) is the saturation pressure of vapor at
Tamb. See
Relative Humidity for more details.
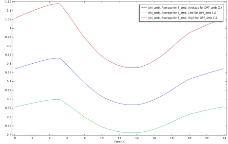
As the diurnal variation of temperature is available, the diurnal fluctuations of relative humidity can also be computed with the Filter diurnal variation checkbox cleared, as illustrated in
Figure 3-10 for New York/John F. Ke, on the 1
st of June, for different ambient conditions.

The moisture content xvap,amb (dimensionless) is computed from the temperature
Tamb, the absolute pressure
pamb, and the relative humidity
ϕamb with the following relation:
where psat(
Tamb) is the saturation pressure of vapor at
Tamb, and
Mv and
Ma are the molar masses of water vapor and dry air. See
Moisture Content for more details.
where Isn,station (SI unit: W/m
3) and
Ish,station (SI unit: W/m
3) are respectively the observed values of the clear sky noon beam normal and horizontal diffuse solar irradiances.
Figure 3-11 illustrates the evolution of ambient solar irradiance for New York/John F. Ke, over the year.
