Boundary Layer vs. Bulk Losses
As discussed in the above sections, the Acoustics Module includes models for both bulk losses and boundary layer losses. In pressure acoustics, you can include either form of losses. For example, the Atmosphere attenuation fluid model in pressure acoustics is a detailed bulk loss model that includes all dissipation effects and it complies with the ANSI standard. On the other hand, the Narrow Region Acoustics feature includes the boundary layer losses for narrow waveguide structures.
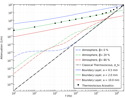
The importance of the two loss mechanisms (bulk and boundary layer) depend on the geometry scale and the frequency range studied. As an example, the losses experienced by a plane wave propagating in an air filled narrow circular duct is depicted in Figure 14-3. The graph includes:
The thermoviscous boundary layer attenuation for different duct radii (a = 0.5 mm, 2.0 mm, and 10.0 mm) modeled using the Narrow Region Acoustic feature.
The solution using the full thermoviscous acoustics equations in the cylindrical duct of radius a = 2.0 mm. This can be seen as a reference solution since it models both boundary layer and thermoviscous bulk losses.
From the graph, it is evident that in relatively narrow waveguide structures the boundary layer losses far surpass the bulk losses in a large frequency range. The transition happens in the ultrasound regime. The graph also shows that (for air) the real life relaxation effects captured by the atmosphere attenuation model can be disregarded in most waveguides and really only are important away from boundaries and for propagation over large distances.
The transition between the two loss regimes is captured by the full thermoviscous acoustics models. For the vast majority of practical applications, when using the Thermoviscous Acoustics physics interfaces, it is not necessary to include the “true” bulk behavior captured by the atmosphere model. This is simply because it is not computationally possible to model large scale acoustics with the Thermoviscous Acoustics interfaces - their true application is in complex narrow geometries.
Figure 14-3: The importance of various attenuation mechanisms for the propagation of plane waves in a cylindrical duct of radius a. The plot shows the (bulk) atmosphere attenuation contribution for different relative humidities ϕ, the classical (bulk) thermoviscous attenuation, the thermoviscous boundary layer attenuation for different duct radii a, and reference solution using the full thermoviscous acoustics model (in the duct with a radius of 2.0 mm).