Waveguide End Impedance Models
Tubes and ducts are acoustic waveguides, and there are acoustic radiation losses when such a waveguide opens into a large domain. Idealized models for these losses have been implemented as boundary impedance models. Thus, instead of explicitly modeling the large domain, an appropriate impedance model Zend can be applied with Zn = Zend. These models all assume that the domain is infinitely big, that the propagation is in the direction of the waveguide axis, and that the propagating mode is a plane wave. As with all other impedance boundary models, only the boundary-normal velocity component is taken into account.
In the following the term ρc takes different values depending on when the impedance condition is applied. Specifically, for models with damping they are equal to the complex valued quantities ρccc, while when applied on an Anisotropic Acoustic domain the normal direction variables are used ρncn.
Flanged Pipe, Circular
For a pipe of a user-specified radius a, the acoustic losses are given by (see Ref. 6)
where J1(x) is the Bessel function of the first kind of order 1, H1(x) is the Struve function, and k is the wave number of the wave. This expression is also known as the impedance from a baffled piston.
Flanged Pipe, Rectangular
For a rectangular duct of user-specified inner width wi and inner height hi, the acoustic losses are given by (see Ref. 5)
.
This relationship applies provided the following requirements are satisfied
.
Unflanged Pipe, Circular (Low ka Limit)
For an unflanged circular pipe of a user-specified radius a in the limit of small radius (low ka), the pipe end impedance is given by the classical expression (see Ref. 6)
.
Unflanged Pipe, Circular
For an unflanged pipe of any user-specified radius a relative to the wave number k, an approximate end impedance is given in Ref. 33. It is
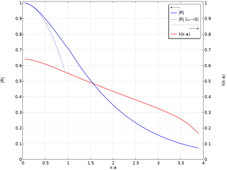
where δ(ka) is a tabulated phase correction function. The implemented impedance models does not use the exact curve from Ref. 33. The tabulated function δ(ka) is depicted in Figure 2-20 together with the absolute value of the reflection coefficient |R|. A comparison between a full simulation and the impedance model can be seen in the Open Pipe application library verification model. Note that, Figure 2-20 also shows the theoretical low frequency limit for the reflection coefficient
.
Figure 2-20: Absolute value of reflection coefficient as well as phase correction factor for the unflanged pipe end-impedance model.