You are viewing the documentation for an older COMSOL version. The latest version is available here.
PDF

Necking of an Elastoplastic Metal Bar
Introduction
A circular bar of metal is subjected to a uniaxial tensile test. The material presents an elastoplastic behavior with nonlinear isotropic hardening. When subjected to large deformations, the specimen experiences a significant plastic deformation and necking in its central cross section. This example demonstrates the large strain plasticity option available in the Nonlinear Structural Materials Module. The simulation results are compared with results in the literature.
Model Definition
In this model, a cylindrical steel bar with a height, H0, of 53.334 mm and a radius, R0, of 6.413 mm, is subjected to a total elongation of 20 mm.
The problem exhibits 2D axial symmetry as well as a reflection symmetry in the mid cross section of the bar. It is therefore possible to reduce the model geometry to a rectangle with a width equal to the radius of the bar, and a height equal to half of the length of the bar, see Figure 1.
The boundary conditions for the displacements in the radial and axial directions, u and w, that follow from the symmetries are
where r and z are the radial and axial coordinates. The tensile loading is imposed through a prescribed elongation of Δ = 10 mm,
Figure 1: Schematic description of the numerical model. The red line shows the rotation symmetry axis.
Material Model
The elastic behavior of the material is characterized by a Young’s modulus E = 206.9 GPa and a Poisson’s ratio ν = 0.29. The plastic response follows a nonlinear isotropic hardening model with a yield stress given by
(1)
where σys0 is the initial yield stress and σh is the nonlinear hardening function. The latter is defined as
(2)
The hardening function σh depends nonlinearly on the equivalent plastic strain εpe. Here, H is the linear hardening coefficient, σysf is the saturation flow stress or residual yield stress, and ζ is the saturation exponent.
The numerical values of the parameters for the hardening function are given in Table 1. Figure 2, shows this nonlinear hardening as a function of equivalent plastic strain.
σys0
σysf
ζ
Figure 2: Nonlinear isotropic hardening as a function of equivalent plastic strain.
As plastic strain become large, the material becomes unstable which will result in localization of the deformation in to the smallest possible width; in the case of finite elements, rows of mesh element or rows of Gauss points. To keep the mesh objectivity of the solution, a length scale can be introduced to the material model to limit strain localization to a predefined width. Here the Implicit gradient nonlocal plasticity model is used with a length scale lint = 0.15 mm.
Results and Discussion
Figure 3 shows the distribution of the von Mises stress in the specimen. The figure also shows the deformation of the specimen, and how the nonlinear material behavior causes necking of its central cross section. The necking is caused by the very large plastic strains at the vertical symmetry plane as seen in Figure 4. A 10 mm elongation results in an equivalent plastic strain larger than 2.5 (this is, 250%) in the most affected region. At such large plastic strains, the specimen has likely already ruptured.
Figure 3: Distribution of the von Mises stress at 10 mm end displacement.
Figure 4: Distribution of the equivalent plastic strain at 10 mm end displacement. The results are shown in the undeformed configuration of the bar.
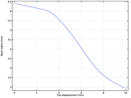
Figure 5 shows the change in radius as a function the elongation. Initially, the radius decreases linearly with the applied displacement. After an axial displacement of 3 mm, the radial reduction increases significantly and the specimen experiences necking. A similar case has been examined by Simo and Hughes (Ref. 1) as well as by Elguedj and Hughes (Ref. 2). Table 2 compares their results with the outcome of the current analysis. The calculated radial neck radius is in good agreement with results found in the literature.
Figure 5: Necking development in the mid section of the bar.
δ (mm)
Figure 6 shows the reaction force as function of the axial displacement. The peak load is recorded at 3 mm after which the load starts to decrease as the specimen experience necking as discussed above. At an axial displacement around 7 mm, the curve starts to flatten, this is an effect of the nonlocal plasticity model. However, at this point the specimen in reality would have ruptured, but to capture such behavior, the material model would have to be extended.
Figure 6: Reaction force of the bar.
Notes About the COMSOL Implementation
The nonlinear hardening behavior is implemented using an analytic function. With reference to equation Equation 2, the hardening function is defined as
The user-defined hardening σh(εpe), portrayed in Figure 2, assumes zero stress for no plastic strain. In Equation 1, the yield stress is defined as the sum of the initial yield stress σys0 and the hardening function σh(εpe). The hardening function is defined in the Materials node by an analytic function.
You find the Large plastic strains option in the Plasticity node. This option uses multiplicative decomposition between the elastic and plastic deformations, as opposed to additive decomposition which is used for the Small plastic strains option. The small plastic strain assumption is generally not valid for strains above 0.1 (this is, more than 10%).
Including plasticity in the material model requires local computations at each Gauss point during the assembly process which is expensive. By using Reduced Integration, the number of Gauss points are reduced by a factor two for the given displacement shape function order and mesh element type. This will speed up the computation significantly.
In this example, you use the double dogleg solver. This solver often works better for this class of nonlinear problems. The default Newton solver could also be used, but would then require tuning of the default solver settings.
References
1. J.C. Simo and T.R.J. Hughes, Computational Inelasticity, Springer, 2000.
2. T. Elguedj and T.J.R. Hughes, Isogeometric Analysis of Nearly Incompressible Large Strain Plasticity, ICES REPORT 11-35, the Institute for Computational Engineering and Sciences, the University of Texas at Austin, 2011.
Application Library path: Nonlinear_Structural_Materials_Module/Plasticity/bar_necking
Modeling Instructions
From the File menu, choose New.
New
In the New window, click  Model Wizard.
Model Wizard
1
In the Model Wizard window, click  2D Axisymmetric.
2
In the Select Physics tree, select Structural Mechanics>Solid Mechanics (solid).
3
Click Add.
4
Click  Study.
5
In the Select Study tree, select General Studies>Stationary.
6
Global Definitions
Parameters 1
1
In the Model Builder window, under Global Definitions click Parameters 1.
2
In the Settings window for Parameters, locate the Parameters section.
3
Geometry 1
1
In the Model Builder window, under Component 1 (comp1) click Geometry 1.
2
In the Settings window for Geometry, locate the Units section.
3
From the Length unit list, choose mm.
Rectangle 1 (r1)
1
In the Geometry toolbar, click  Rectangle.
2
In the Settings window for Rectangle, locate the Size and Shape section.
3
In the Width text field, type R0.
4
In the Height text field, type H0/2.
5
Click  Build All Objects.
Solid Mechanics (solid)
Prescribed Displacement, Bottom
1
In the Model Builder window, under Component 1 (comp1) right-click Solid Mechanics (solid) and choose Prescribed Displacement.
2
In the Settings window for Prescribed Displacement, type Prescribed Displacement, Bottom in the Label text field.
3
4
Locate the Prescribed Displacement section. Select the Prescribed in z direction check box.
Prescribed Displacement, Top
1
In the Physics toolbar, click  Boundaries and choose Prescribed Displacement.
2
In the Settings window for Prescribed Displacement, type Prescribed Displacement, Top in the Label text field.
3
4
Locate the Prescribed Displacement section. Select the Prescribed in r direction check box.
5
Select the Prescribed in z direction check box.
6
In the u0z text field, type delta.
Linear Elastic Material 1
The local computations at Gauss points during assembly are expensive when plasticity is added to the material model. Using a reduced integration scheme will reduce the overall simulation time.
1
In the Model Builder window, click Linear Elastic Material 1.
2
In the Settings window for Linear Elastic Material, locate the Quadrature Settings section.
3
Select the Reduced integration check box.
Plasticity 1
1
In the Physics toolbar, click  Attributes and choose Plasticity.
2
In the Settings window for Plasticity, locate the Plasticity Model section.
3
From the Formulation list, choose Large strains.
4
Find the Isotropic hardening model subsection. From the list, choose Hardening function.
5
Click to expand the Nonlocal Plasticity Model section. From the list, choose Implicit gradient.
6
In the lint text field, type 0.15[mm].
Materials
Material 1 (mat1)
1
In the Model Builder window, under Component 1 (comp1) right-click Materials and choose Blank Material.
2
In the Settings window for Material, locate the Material Contents section.
3
Add a nonlinear hardening function.
Analytic 1 (an1)
1
In the Model Builder window, expand the Material 1 (mat1) node.
2
Right-click Component 1 (comp1)>Materials>Material 1 (mat1)>Elastoplastic material model (ElastoplasticModel) and choose Functions>Analytic.
3
In the Settings window for Analytic, type sig_h in the Function name text field.
4
Locate the Definition section. In the Arguments text field, type epe.
5
In the Expression text field, type H*epe+(sigmaSF-sigma0)*(1-exp(-zeta*epe)).
6
Locate the Units section. In the table, enter the following settings:
7
In the Function text field, type Pa.
8
Locate the Plot Parameters section. In the table, enter the following settings:
9
Material 1 (mat1)
1
In the Model Builder window, under Component 1 (comp1)>Materials>Material 1 (mat1) click Elastoplastic material model (ElastoplasticModel).
2
In the Settings window for Elastoplastic Material Model, locate the Model Inputs section.
3
Click  Select Quantity.
4
In the Physical Quantity dialog box, type plastic strain in the text field.
5
Click  Filter.
6
In the tree, select Solid Mechanics>Equivalent plastic strain (1).
7
8
In the Model Builder window, click Material 1 (mat1).
9
In the Settings window for Material, locate the Material Contents section.
10
Mesh 1
Mapped 1
In the Mesh toolbar, click  Mapped.
Distribution 1
1
Right-click Mapped 1 and choose Distribution.
2
3
In the Settings window for Distribution, locate the Distribution section.
4
From the Distribution type list, choose Predefined.
5
In the Number of elements text field, type 50.
6
In the Element ratio text field, type 5.
7
Distribution 2
1
In the Model Builder window, right-click Mapped 1 and choose Distribution.
2
3
In the Settings window for Distribution, locate the Distribution section.
4
In the Number of elements text field, type 20.
5
Click  Build All.
Study 1
Solution 1 (sol1)
1
In the Study toolbar, click  Show Default Solver.
2
In the Model Builder window, expand the Solution 1 (sol1) node.
3
In the Model Builder window, expand the Study 1>Solver Configurations>Solution 1 (sol1)>Stationary Solver 1 node, then click Fully Coupled 1.
4
In the Settings window for Fully Coupled, click to expand the Method and Termination section.
5
From the Nonlinear method list, choose Double dogleg.
The Double dogleg solver is suitable for highly nonlinear problems.
Step 1: Stationary
Set up an auxiliary continuation sweep for the delta parameter.
1
In the Model Builder window, under Study 1 click Step 1: Stationary.
2
In the Settings window for Stationary, click to expand the Study Extensions section.
3
Select the Auxiliary sweep check box.
4
5
6
In the Study toolbar, click  Compute.
Results
Stress (solid)
1
In the Settings window for 2D Plot Group, locate the Plot Settings section.
2
From the Frame list, choose Spatial  (r, phi, z).
Surface 1
1
In the Model Builder window, expand the Stress (solid) node, then click Surface 1.
2
In the Settings window for Surface, locate the Expression section.
3
From the Unit list, choose MPa.
4
In the Stress (solid) toolbar, click  Plot.
Neck Radius
1
In the Home toolbar, click  Add Plot Group and choose 1D Plot Group.
2
In the Settings window for 1D Plot Group, type Neck Radius in the Label text field.
Point Graph 1
1
Right-click Neck Radius and choose Point Graph.
2
3
In the Settings window for Point Graph, locate the y-Axis Data section.
4
In the Expression text field, type u+R0.
5
Locate the x-Axis Data section. From the Parameter list, choose Expression.
6
In the Expression text field, type delta.
7
In the Neck Radius toolbar, click  Plot.
8
Locate the y-Axis Data section.
9
Select the Description check box. In the associated text field, type Neck radius.
10
Click to expand the Title section. From the Title type list, choose None.
11
In the Neck Radius toolbar, click  Plot.
Calculate the reaction force.
Line Integration 1
1
In the Results toolbar, click  More Derived Values and choose Integration>Line Integration.
2
3
In the Settings window for Line Integration, click Replace Expression in the upper-right corner of the Expressions section. From the menu, choose Component 1 (comp1)>Solid Mechanics>Reactions>Reaction force (spatial frame) - N>solid.RFz - Reaction force, z-component.
4
Locate the Expressions section. In the table, enter the following settings:
5
Locate the Integration Settings section. Clear the Compute surface integral check box.
6
Click  Evaluate.
Table
1
Go to the Table window.
2
Click Table Graph in the window toolbar.
Results
Reaction Force
1
In the Model Builder window, under Results click 1D Plot Group 5.
2
In the Settings window for 1D Plot Group, type Reaction Force in the Label text field.
3
Locate the Plot Settings section.
4
Select the x-axis label check box. In the associated text field, type Top displacement (mm).
Calculate the maximum equivalent plastic strain.
Surface Maximum 1
1
In the Results toolbar, click  More Derived Values and choose Maximum>Surface Maximum.
2
In the Settings window for Surface Maximum, locate the Data section.
3
From the Parameter selection (delta) list, choose Last.
4
Locate the Selection section. From the Selection list, choose All domains.
5
Click Replace Expression in the upper-right corner of the Expressions section. From the menu, choose Component 1 (comp1)>Solid Mechanics>Strain (Gauss points)>solid.epeGp - Equivalent plastic strain, Gauss point evaluation.
6
Click  Evaluate.
Create an illustrative 3D plot.
Mirror 3D 1
1
In the Model Builder window, expand the Results>Datasets node.
2
Right-click Results>Datasets and choose More 3D Datasets>Mirror 3D.
3
In the Settings window for Mirror 3D, locate the Plane Data section.
4
From the Plane list, choose XY-planes.
Stress, 3D (solid)
1
In the Model Builder window, under Results click Stress, 3D (solid).
2
In the Settings window for 3D Plot Group, locate the Data section.
3
From the Dataset list, choose Mirror 3D 1.
4
From the Parameter value (delta (mm)) list, choose 8.
5
Locate the Plot Settings section. Clear the Plot dataset edges check box.
6
In the Stress, 3D (solid) toolbar, click  Plot.