You are viewing the documentation for an older COMSOL version. The latest version is available here.
PDF

Inflation of a Spherical Rubber Balloon
Introduction
This example demonstrates the inflation of a rubber balloon using different hyperelastic material models and compares the results with analytical expressions.
Controlled inflation is of importance in clinical applications, cardiovascular research, and medical device industry (Ref. 2), among others. This example demonstrates such controlled inflation of a balloon based on radial stretch.
The example is taken from the book Nonlinear Solid Mechanics by G. A. Holzapfel (Ref. 1).
Model Definition
This example compares the hoop stress and inflation pressure as a function of the stretch for a spherical rubber balloon, the geometry of which is depicted in Figure 1.
Figure 1: Model geometry. The initial inner radius is set to 10 cm and the initial thickness to 1 mm.
In this example, the following four hyperelastic material models are compared: neo-Hookean, Mooney–Rivlin, Ogden, and Varga.
Due to the spherical symmetry, an arbitrary sector in the azimuthal direction can be used. Here, a 20 degree sector is modeled in a 2D axial symmetry plane, see Figure 2.
Figure 2: 2D axisymmetric geometry and mesh.
Results and Discussion
The results are compared with the analytical expression for a thin-walled vessel. The inflation pressure is a function of the hoop stress σθ, the current inner radius r, and the current thickness h
For spherical balloons, the hoop stress σθ is equal to the largest principal stresses, σ1 and σ2. These two principal stretches are in the plane tangential to the sphere and are equal, λ = λ1 = λ2 = r/R, which is typical for equibiaxial deformation. Here, r and R are the current and initial inner radii, respectively.
Due to the incompressibility assumption, the third principal stretch (this is the stretch in the radial direction) is equal to λ3 = 1/λ2 = h/H, where h and H are the current and initial balloon thickness, respectively.
The analytical expression for the hoop stress for the Ogden material model becomes (Ref. 1)
where αp and μp are Ogden parameters, and λ is the in-plane principal stretch.
Because r = Rλ and h = H/λ2, the analytical expression for the inflation pressure can be written as a function of the Ogden parameters, the stretch, and the initial thickness and radius of the balloon as
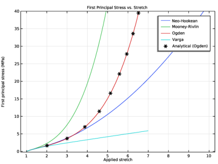
Balloons typically show a stiff initial response, after which the internal pressure reaches a local maximum and the balloon snaps through, see Figure 3. At larger stretches, a local minimum in pressure occurs and the sign of the stiffness changes back to positive. These local maxima and minima are called limit points. Some material models, like Mooney–Rivlin and Ogden, can exhibit more than one limit point. In contrast, the neo-Hookean and Varga material models can only reproduce balloon inflations at small levels of extension.
The computed inflation pressure and hoop stress as functions of the applied stretch are shown in Figure 3 and Figure 4, respectively. Both figures include the computed results for four different material models, and they are in excellent agreement with the results described in Ref. 1, page 241.
Figure 5 shows the distribution of the hoop stress for a neo-Hookean material at the final step of the solution.
Figure 3: Computed inflation pressure as a function of circumferential stretch for different material models, compared with the analytical expression for the Ogden material model.
Figure 4: Computed hoop stress as a function of circumferential stretch for different material models, compared with the analytical expression for the Ogden material.
Figure 5: Distribution of hoop stress on the 2D axisymmetric cross-section modeled with a neo-Hookean material at maximum inflation. Note that a scaling factor has been used in order to visualize the stress distribution across the thickness in the deformed configuration.
Notes About the COMSOL Implementation
Hyperelastic material models are constructed by specifying the corresponding elastic strain energy density expressions. The Nonlinear Structural Materials Module provides several predefined material models together with an option to enter user-defined expressions for the strain energy density.
The predefined nearly incompressible version of the neo-Hookean material with quadratic volumetric strain energy formulation uses the isochoric invariant and the elastic volume ratio according to
In this example, μ = 422.5 kPa and κ = 105μ. The Lamé parameters μ and κ can be seen as representing the small strain shear and bulk modulus, respectively.
The predefined nearly incompressible Mooney–Rivlin material with quadratic volumetric strain energy formulation has an elastic strain energy density written in terms of the first and second invariants of the isochoric elastic right Cauchy–Green deformation tensor, and , and the elastic volume ratio Jel
The material parameters C10 and C01 are related to the shear modulus μ = 2(C10 + C01). In this example, they are set as C10 = 7/16μ and C01 = μ/16, so that the relation C10 = 7C01 is fulfilled.
In contrast to the invariant-based models, the predefined nearly incompressible Ogden material with quadratic volumetric strain energy formulation uses the isochoric elastic principal stretches and the elastic volume ratio Jel
Here, N = 3 terms are used with the Ogden parameters provided in Table 1.
αp
μp (kPa)
The predefined nearly incompressible Varga strain energy density function is given as
Following the example in Ref. 1, the material parameters are c1 = 2μ and c2 = 0.
When the relation between the applied load and the displacement is nonunique (as in the snap-through during balloon inflation), a suitable modeling technique is to use an algebraic equation that controls the applied pressure, so that the model reaches the desired displacement increments. In this example, a Global Equation uses the radial displacement at point 3 to add an extra degree of freedom for the inflation pressure.
Global equations are a convenient way of adding an additional equation to a model. A global equation can be used to describe a load, constraint, material property, or anything else in the model that has a uniquely definable solution. In this example, the model is augmented by a global equation that solves for the inflation pressure required to achieve a desired applied stretch.
References
1. G.A. Holzapfel, Nonlinear Solid Mechanics: A Continuum Approach for Engineering, John Wiley & Sons, 2000.
2. H. Azarnoush, S. Vergnole, B. Boulet, R. DiRaddo, and G. Lamouche, “Real-time control of angioplasty balloon inflation based on feedback from intravascular optical coherence tomography: preliminary study on an artery phantom,” IEEE Trans Biomed Eng. vol. 59, pp. 697–705, 2012.
Application Library path: Nonlinear_Structural_Materials_Module/Hyperelasticity/balloon_inflation
Modeling Instructions
From the File menu, choose New.
New
In the New window, click  Model Wizard.
Model Wizard
1
In the Model Wizard window, click  2D Axisymmetric.
2
In the Select Physics tree, select Structural Mechanics>Solid Mechanics (solid).
3
Click Add.
4
Click  Study.
5
In the Select Study tree, select General Studies>Stationary.
6
Global Definitions
Begin by defining all model parameters.
Parameters 1
1
In the Model Builder window, under Global Definitions click Parameters 1.
2
In the Settings window for Parameters, locate the Parameters section.
3
Setting the bulk modulus to 10^5 times the shear modulus is based on the assumption that the material is incompressible.
Definitions
Variables 1
1
In the Home toolbar, click  Variables and choose Local Variables.
2
In the Settings window for Variables, locate the Variables section.
3
Use the applied stretch and the inner radius of the balloon to compute the applied displacement.
Geometry 1
Due to symmetry, it suffices to model a 20-degree sector of the balloon.
Circle 1 (c1)
1
In the Geometry toolbar, click  Circle.
2
In the Settings window for Circle, locate the Size and Shape section.
3
In the Radius text field, type Ri+H.
4
In the Sector angle text field, type 20.
5
Click to expand the Layers section. In the table, enter the following settings:
6
Click  Build All Objects.
Delete Entities 1 (del1)
1
In the Model Builder window, right-click Geometry 1 and choose Delete Entities.
2
In the Settings window for Delete Entities, locate the Entities or Objects to Delete section.
3
From the Geometric entity level list, choose Domain.
4
On the object c1, select Domain 1 only.
5
Click  Build All Objects.
Solid Mechanics (solid)
Add the four Hyperelastic Material models to be studied.
Neo-Hookean
1
In the Model Builder window, under Component 1 (comp1) right-click Solid Mechanics (solid) and choose Material Models>Hyperelastic Material.
2
In the Settings window for Hyperelastic Material, type Neo-Hookean in the Label text field.
3
Locate the Domain Selection section. From the Selection list, choose All domains.
4
Locate the Hyperelastic Material section. From the Compressibility list, choose Nearly incompressible.
5
In the κ text field, type kappa.
6
From the μ list, choose User defined. In the associated text field, type mu.
Mooney-Rivlin
1
In the Physics toolbar, click  Domains and choose Hyperelastic Material.
2
In the Settings window for Hyperelastic Material, type Mooney-Rivlin in the Label text field.
3
Locate the Domain Selection section. From the Selection list, choose All domains.
4
Locate the Hyperelastic Material section. From the Material model list, choose Mooney-Rivlin, two parameters.
5
From the C10 list, choose User defined. In the associated text field, type C10.
6
From the C01 list, choose User defined. In the associated text field, type C01.
7
In the κ text field, type kappa.
Ogden
1
In the Physics toolbar, click  Domains and choose Hyperelastic Material.
2
In the Settings window for Hyperelastic Material, type Ogden in the Label text field.
3
Locate the Domain Selection section. From the Selection list, choose All domains.
4
Locate the Hyperelastic Material section. From the Material model list, choose Ogden.
5
Click Add twice.
6
In the Ogden parameters table, enter the following settings:
7
In the κ text field, type kappa.
Varga
1
In the Physics toolbar, click  Domains and choose Hyperelastic Material.
2
In the Settings window for Hyperelastic Material, type Varga in the Label text field.
3
Locate the Domain Selection section. From the Selection list, choose All domains.
4
Locate the Hyperelastic Material section. From the Material model list, choose Varga.
5
From the c1 list, choose User defined. In the associated text field, type 2*mu.
6
From the c2 list, choose User defined. In the associated text field, type 0.
7
In the κ text field, type kappa.
To enforce a symmetry constraint, add a Roller node.
Roller 1
1
In the Physics toolbar, click  Boundaries and choose Roller.
2
Control the inflation of the balloon by the pressure.
Boundary Load 1
1
In the Physics toolbar, click  Boundaries and choose Boundary Load.
2
3
In the Settings window for Boundary Load, locate the Force section.
4
From the Load type list, choose Pressure.
5
In the p text field, type p_f.
You will define the pressure p_f using a Global Equation feature shortly. First, define a nonlocal integration coupling to evaluate the displacement at point 3.
Definitions
Integration 1 (intop1)
1
In the Definitions toolbar, click  Nonlocal Couplings and choose Integration.
2
In the Settings window for Integration, locate the Source Selection section.
3
From the Geometric entity level list, choose Point.
4
5
Locate the Advanced section. From the Frame list, choose Material  (R, PHI, Z).
6
Clear the Compute integral in revolved geometry check box.
Variables 1
1
In the Model Builder window, click Variables 1.
2
In the Settings window for Variables, locate the Variables section.
3
Solid Mechanics (solid)
1
Click the  Show More Options button in the Model Builder toolbar.
2
In the Show More Options dialog box, in the tree, select the check box for the node Physics>Equation-Based Contributions.
3
Click OK enable global equations and other advanced modeling features to the Solid Mechanics interface.
Global Equations 1
1
In the Physics toolbar, click  Global and choose Global Equations.
2
In the Settings window for Global Equations, locate the Global Equations section.
3
4
Locate the Units section. Click  Select Dependent Variable Quantity.
5
In the Physical Quantity dialog box, type pressure in the text field.
6
Click  Filter.
7
In the tree, select General>Pressure (Pa).
8
9
In the Settings window for Global Equations, locate the Units section.
10
Click  Select Source Term Quantity.
11
In the Physical Quantity dialog box, type displacement in the text field.
12
Click  Filter.
13
In the tree, select General>Displacement (m).
14
Before building the mesh and solving, create variables for the analytical expressions of inflation pressure and hoop stress for Ogden’s model.
Definitions
Variables 1
1
In the Model Builder window, under Component 1 (comp1)>Definitions click Variables 1.
2
In the Settings window for Variables, locate the Variables section.
3
Mesh 1
Mapped 1
In the Mesh toolbar, click  Mapped.
Distribution 1
1
Right-click Mapped 1 and choose Distribution.
2
3
In the Settings window for Distribution, locate the Distribution section.
4
In the Number of elements text field, type 3.
Distribution 2
1
In the Model Builder window, right-click Mapped 1 and choose Distribution.
2
3
In the Settings window for Distribution, locate the Distribution section.
4
In the Number of elements text field, type 50.
5
In the Model Builder window, right-click Mesh 1 and choose Build All.
Study 1
The first study solves the problem with a neo-Hookean material model.
Step 1: Stationary
1
In the Model Builder window, under Study 1 click Step 1: Stationary.
2
In the Settings window for Stationary, locate the Physics and Variables Selection section.
3
Select the Modify model configuration for study step check box.
4
In the tree, select Component 1 (comp1)>Solid Mechanics (solid), Controls spatial frame>Mooney-Rivlin, Component 1 (comp1)>Solid Mechanics (solid), Controls spatial frame>Ogden, and Component 1 (comp1)>Solid Mechanics (solid), Controls spatial frame>Varga.
5
Use an Auxiliary sweep to ramp the applied stretch from 1 to 10.
1
Click to expand the Study Extensions section. Select the Auxiliary sweep check box.
2
3
4
In the Model Builder window, click Study 1.
5
In the Settings window for Study, type Neo-Hookean in the Label text field.
6
Locate the Study Settings section. Clear the Generate default plots check box.
Improve convergence by applying the following changes to the default solver.
Solution 1 (sol1)
1
In the Study toolbar, click  Show Default Solver.
Use manual scaling to help the nonlinear solver during the first steps. A constant predictor is also suitable for nonlinear materials.
2
In the Model Builder window, expand the Solution 1 (sol1) node, then click Dependent Variables 1.
3
In the Settings window for Dependent Variables, locate the Scaling section.
4
From the Method list, choose Manual.
5
In the Model Builder window, expand the Neo-Hookean>Solver Configurations>Solution 1 (sol1)>Stationary Solver 1 node, then click Direct.
6
In the Settings window for Direct, locate the General section.
7
From the Solver list, choose PARDISO.
8
In the Model Builder window, under Neo-Hookean>Solver Configurations>Solution 1 (sol1)>Stationary Solver 1 click Parametric 1.
9
In the Settings window for Parametric, click to expand the Continuation section.
10
From the Predictor list, choose Constant.
11
In the Model Builder window, under Neo-Hookean>Solver Configurations>Solution 1 (sol1)>Stationary Solver 1 click Fully Coupled 1.
12
In the Settings window for Fully Coupled, click to expand the Method and Termination section.
13
From the Nonlinear method list, choose Constant (Newton).
14
In the Study toolbar, click  Compute.
Add a second study to solve for the Mooney-Rivlin material model, then repeat the steps described above.
Add Study
1
In the Study toolbar, click  Add Study to open the Add Study window.
2
Go to the Add Study window.
3
Find the Studies subsection. In the Select Study tree, select General Studies>Stationary.
4
Click Add Study in the window toolbar.
Mooney-Rivlin
1
In the Model Builder window, click Study 2.
2
In the Settings window for Study, type Mooney-Rivlin in the Label text field.
3
Locate the Study Settings section. Clear the Generate default plots check box.
Step 1: Stationary
1
In the Model Builder window, under Mooney-Rivlin click Step 1: Stationary.
2
In the Settings window for Stationary, locate the Physics and Variables Selection section.
3
Select the Modify model configuration for study step check box.
4
In the tree, select Component 1 (comp1)>Solid Mechanics (solid), Controls spatial frame>Neo-Hookean, Component 1 (comp1)>Solid Mechanics (solid), Controls spatial frame>Ogden, and Component 1 (comp1)>Solid Mechanics (solid), Controls spatial frame>Varga.
5
Use an Auxiliary sweep to ramp up the applied stretch from 1 to 5.
1
Locate the Study Extensions section. Select the Auxiliary sweep check box.
2
3
Solution 2 (sol2)
1
In the Study toolbar, click  Show Default Solver.
2
In the Model Builder window, expand the Solution 2 (sol2) node, then click Dependent Variables 1.
3
In the Settings window for Dependent Variables, locate the Scaling section.
4
From the Method list, choose Manual.
5
In the Model Builder window, expand the Mooney-Rivlin>Solver Configurations>Solution 2 (sol2)>Stationary Solver 1 node, then click Direct.
6
In the Settings window for Direct, locate the General section.
7
From the Solver list, choose PARDISO.
8
In the Model Builder window, under Mooney-Rivlin>Solver Configurations>Solution 2 (sol2)>Stationary Solver 1 click Parametric 1.
9
In the Settings window for Parametric, locate the Continuation section.
10
From the Predictor list, choose Constant.
11
In the Model Builder window, under Mooney-Rivlin>Solver Configurations>Solution 2 (sol2)>Stationary Solver 1 click Fully Coupled 1.
12
In the Settings window for Fully Coupled, locate the Method and Termination section.
13
From the Nonlinear method list, choose Constant (Newton).
14
In the Study toolbar, click  Compute.
Continue with a third study for the Ogden material model.
Add Study
1
Go to the Add Study window.
2
Find the Studies subsection. In the Select Study tree, select General Studies>Stationary.
3
Click Add Study in the window toolbar.
Ogden
1
In the Model Builder window, click Study 3.
2
In the Settings window for Study, type Ogden in the Label text field.
3
Locate the Study Settings section. Clear the Generate default plots check box.
Step 1: Stationary
1
In the Model Builder window, under Ogden click Step 1: Stationary.
2
In the Settings window for Stationary, locate the Physics and Variables Selection section.
3
Select the Modify model configuration for study step check box.
4
In the tree, select Component 1 (comp1)>Solid Mechanics (solid), Controls spatial frame>Neo-Hookean, Component 1 (comp1)>Solid Mechanics (solid), Controls spatial frame>Mooney-Rivlin, and Component 1 (comp1)>Solid Mechanics (solid), Controls spatial frame>Varga.
5
Click  Disable.
6
Locate the Study Extensions section. Select the Auxiliary sweep check box.
7
8
Solution 3 (sol3)
1
In the Study toolbar, click  Show Default Solver.
2
In the Model Builder window, expand the Solution 3 (sol3) node, then click Dependent Variables 1.
3
In the Settings window for Dependent Variables, locate the Scaling section.
4
From the Method list, choose Manual.
5
In the Model Builder window, expand the Ogden>Solver Configurations>Solution 3 (sol3)>Stationary Solver 1 node, then click Direct.
6
In the Settings window for Direct, locate the General section.
7
From the Solver list, choose PARDISO.
8
In the Model Builder window, under Ogden>Solver Configurations>Solution 3 (sol3)>Stationary Solver 1 click Parametric 1.
9
In the Settings window for Parametric, locate the Continuation section.
10
From the Predictor list, choose Constant.
11
In the Model Builder window, under Ogden>Solver Configurations>Solution 3 (sol3)>Stationary Solver 1 click Fully Coupled 1.
12
In the Settings window for Fully Coupled, locate the Method and Termination section.
13
From the Nonlinear method list, choose Constant (Newton).
14
In the Study toolbar, click  Compute.
Finally, add a fourth study for the Varga material model.
Add Study
1
Go to the Add Study window.
2
Find the Studies subsection. In the Select Study tree, select General Studies>Stationary.
3
Click Add Study in the window toolbar.
4
In the Study toolbar, click  Add Study to close the Add Study window.
Study 4
1
In the Model Builder window, click Study 4.
2
In the Settings window for Study, locate the Study Settings section.
3
Clear the Generate default plots check box.
Step 1: Stationary
1
In the Model Builder window, under Study 4 click Step 1: Stationary.
2
In the Settings window for Stationary, locate the Physics and Variables Selection section.
3
Select the Modify model configuration for study step check box.
4
In the tree, select Component 1 (comp1)>Solid Mechanics (solid), Controls spatial frame>Neo-Hookean, Component 1 (comp1)>Solid Mechanics (solid), Controls spatial frame>Mooney-Rivlin, and Component 1 (comp1)>Solid Mechanics (solid), Controls spatial frame>Ogden.
5
Click  Disable.
6
Locate the Study Extensions section. Select the Auxiliary sweep check box.
7
8
9
In the Model Builder window, click Study 4.
10
In the Settings window for Study, type Varga in the Label text field.
Solution 4 (sol4)
1
In the Study toolbar, click  Show Default Solver.
2
In the Model Builder window, expand the Solution 4 (sol4) node, then click Dependent Variables 1.
3
In the Settings window for Dependent Variables, locate the Scaling section.
4
From the Method list, choose Manual.
5
In the Model Builder window, expand the Varga>Solver Configurations>Solution 4 (sol4)>Stationary Solver 1 node, then click Direct.
6
In the Settings window for Direct, locate the General section.
7
From the Solver list, choose MUMPS.
8
In the Memory allocation factor text field, type 2.1.
9
In the Model Builder window, under Varga>Solver Configurations>Solution 4 (sol4)>Stationary Solver 1 click Parametric 1.
10
In the Settings window for Parametric, locate the Continuation section.
11
From the Predictor list, choose Constant.
12
In the Model Builder window, under Varga>Solver Configurations>Solution 4 (sol4)>Stationary Solver 1 click Fully Coupled 1.
13
In the Settings window for Fully Coupled, locate the Method and Termination section.
14
From the Nonlinear method list, choose Constant (Newton).
15
In the Study toolbar, click  Compute.
Results
First, create a predefined plot of the first principal stress on the 2D axisymmetric cross section for the neo-Hookean material at maximum inflation. When you adjust the scaling, the plot should become similar to Figure 5.
In the Home toolbar, click  Add Predefined Plot.
Add Predefined Plot
1
Go to the Add Predefined Plot window.
2
In the tree, select Neo-Hookean/Solution 1 (sol1)>Solid Mechanics>Stress (solid).
3
Click Add Plot in the window toolbar.
4
In the Home toolbar, click  Add Predefined Plot.
Results
Stress (solid)
1
In the Model Builder window, under Results click Stress (solid).
2
In the Stress (solid) toolbar, click  Plot.
3
In the Settings window for 2D Plot Group, locate the Plot Settings section.
4
From the Frame list, choose Material  (R, PHI, Z).
Surface 1
1
In the Model Builder window, expand the Stress (solid) node, then click Surface 1.
2
In the Settings window for Surface, locate the Expression section.
3
In the Expression text field, type solid.sp1.
4
From the Unit list, choose MPa.
Deformation
1
In the Model Builder window, expand the Surface 1 node, then click Deformation.
2
In the Settings window for Deformation, locate the Scale section.
3
In the Scale factor text field, type 0.05.
4
In the Stress (solid) toolbar, click  Plot.
5
Click the  Zoom Extents button in the Graphics toolbar.
Add a 1D Plot Group to display the relation between inflation pressure and stretch shown in Figure 3.
Inflation Pressure
1
In the Home toolbar, click  Add Plot Group and choose 1D Plot Group.
2
In the Settings window for 1D Plot Group, type Inflation Pressure in the Label text field.
3
Locate the Plot Settings section.
4
Select the x-axis label check box. In the associated text field, type Applied stretch.
5
Select the y-axis label check box. In the associated text field, type Inflation pressure (kPa).
6
Click to expand the Title section. From the Title type list, choose Manual.
7
In the Title text area, type Inflation Pressure vs. Stretch.
Point Graph 1
1
Right-click Inflation Pressure and choose Point Graph.
2
In the Settings window for Point Graph, locate the Data section.
3
From the Dataset list, choose Neo-Hookean/Solution 1 (sol1).
4
5
Locate the y-Axis Data section. In the Expression text field, type p_f.
6
From the Unit list, choose kPa.
7
Click Replace Expression in the upper-right corner of the x-Axis Data section. From the menu, choose Global definitions>Parameters>stretch - Applied stretch.
8
Click to expand the Legends section. Select the Show legends check box.
9
From the Legends list, choose Manual.
10
11
In the Inflation Pressure toolbar, click  Plot.
Point Graph 2
1
Right-click Point Graph 1 and choose Duplicate.
2
In the Settings window for Point Graph, locate the Data section.
3
From the Dataset list, choose Mooney-Rivlin/Solution 2 (sol2).
4
Locate the Legends section. In the table, enter the following settings:
5
In the Inflation Pressure toolbar, click  Plot.
Point Graph 3
1
In the Model Builder window, under Results>Inflation Pressure right-click Point Graph 1 and choose Duplicate.
2
In the Settings window for Point Graph, locate the Data section.
3
From the Dataset list, choose Ogden/Solution 3 (sol3).
4
Locate the Legends section. In the table, enter the following settings:
5
In the Inflation Pressure toolbar, click  Plot.
Point Graph 4
1
Right-click Point Graph 1 and choose Duplicate.
2
In the Settings window for Point Graph, locate the Data section.
3
From the Dataset list, choose Varga/Solution 4 (sol4).
4
Locate the Legends section. In the table, enter the following settings:
5
In the Inflation Pressure toolbar, click  Plot.
Point Graph 5
1
Right-click Point Graph 1 and choose Duplicate.
2
In the Settings window for Point Graph, locate the Data section.
3
From the Dataset list, choose Ogden/Solution 3 (sol3).
4
Locate the y-Axis Data section. In the Expression text field, type p_Ogden.
5
From the Unit list, choose kPa.
6
Click to expand the Coloring and Style section. Find the Line style subsection. From the Line list, choose None.
7
From the Color list, choose From theme.
8
Find the Line markers subsection. From the Marker list, choose Asterisk.
9
From the Positioning list, choose Interpolated.
10
In the Number text field, type 40.
11
Locate the Legends section. In the table, enter the following settings:
12
In the Inflation Pressure toolbar, click  Plot.
To reproduce Figure 4, proceed as follows.
First Principal Stress
1
In the Model Builder window, right-click Inflation Pressure and choose Duplicate.
2
In the Settings window for 1D Plot Group, type First Principal Stress in the Label text field.
3
Locate the Title section. In the Title text area, type First Principal Stress vs. Stretch.
4
Locate the Plot Settings section. In the y-axis label text field, type First principal stress (MPa).
5
Locate the Axis section. Select the Manual axis limits check box.
6
In the y maximum text field, type 40.
Point Graph 1
1
In the Model Builder window, expand the First Principal Stress node, then click Point Graph 1.
2
In the Settings window for Point Graph, locate the y-Axis Data section.
3
In the Expression text field, type solid.sp1.
4
From the Unit list, choose MPa.
Point Graph 2
1
In the Model Builder window, click Point Graph 2.
2
In the Settings window for Point Graph, locate the y-Axis Data section.
3
In the Expression text field, type solid.sp1.
4
From the Unit list, choose MPa.
Point Graph 3
1
In the Model Builder window, click Point Graph 3.
2
In the Settings window for Point Graph, locate the y-Axis Data section.
3
In the Expression text field, type solid.sp1.
4
From the Unit list, choose MPa.
Point Graph 4
1
In the Model Builder window, click Point Graph 4.
2
In the Settings window for Point Graph, locate the y-Axis Data section.
3
In the Expression text field, type solid.sp1.
4
From the Unit list, choose MPa.
Point Graph 5
1
In the Model Builder window, click Point Graph 5.
2
In the Settings window for Point Graph, locate the Data section.
3
From the Dataset list, choose Ogden/Solution 3 (sol3).
4
Locate the y-Axis Data section. In the Expression text field, type sp1_Ogden.
5
From the Unit list, choose MPa.
6
In the First Principal Stress toolbar, click  Plot.