
|
8.03·10-12 1/s
|
|
|
1.96·10-23 1/s
|
|


|
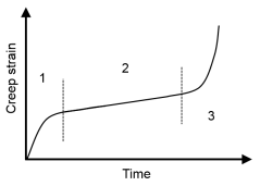
1
|
|
2
|
|
1
|
|
2
|
|
3
|
|
4
|
|
1
|
|
2
|
|
3
|
|
4
|
|
5
|
|
1
|
|
2
|
|
3
|
|
4
|
|
5
|
|
1
|
|
2
|
|
3
|
|
4
|
|
5
|
|
6
|
|
1
|
|
2
|
|
3
|
|
4
|
|
5
|
|
1
|
|
2
|
|
1
|
|
2
|
|
3
|
|
5
|
|
6
|
In the Function table, enter the following settings:
|
|
1
|
|
2
|
In the Show More Options dialog box, in the tree, select the check box for the node Physics>Advanced Physics Options.
|
|
3
|
Click OK.
|
|
4
|
In the Model Builder window, under Component 1 (comp1)>Solid Mechanics (solid) click Linear Elastic Material 1.
|
|
5
|
|
6
|
|
1
|
|
2
|
|
3
|
|
1
|
|
3
|
|
4
|
|
5
|
|
6
|
|
1
|
|
3
|
|
4
|
|
5
|
|
6
|
|
1
|
|
1
|
|
1
|
In the Model Builder window, under Component 1 (comp1) right-click Materials and choose Blank Material.
|
|
2
|
|
4
|
|
1
|
|
2
|
|
4
|
|
1
|
|
2
|
|
4
|
|
1
|
In the Model Builder window, under Component 1 (comp1) right-click Definitions and choose Variables.
|
|
2
|
|
1
|
|
2
|
|
3
|
|
4
|
|
5
|
|
6
|
|
7
|
|
8
|
|
9
|
|
1
|
|
3
|
|
4
|
In the Source term quantity table, enter the following settings:
|
|
5
|
|
6
|
|
7
|
In the Dependent variables table, enter the following settings:
|
|
8
|
Click to expand the Discretization section. From the Shape function type list, choose Gauss point data.
|
|
9
|
|
1
|
In the Model Builder window, under Component 1 (comp1)>Domain ODEs and DAEs (dode) click Distributed ODE 1.
|
|
2
|
|
3
|
|
4
|
|
5
|
|
6
|
|
7
|
In the f text-field array, type
|
|
1
|
|
3
|
|
4
|
In the Source term quantity table, enter the following settings:
|
|
5
|
|
6
|
|
7
|
In the Dependent variables table, enter the following settings:
|
|
8
|
|
9
|
|
1
|
In the Model Builder window, under Component 1 (comp1)>Domain ODEs and DAEs 2 (dode2) click Distributed ODE 1.
|
|
2
|
|
3
|
|
4
|
|
5
|
|
6
|
|
7
|
In the f text-field array, type
|
|
1
|
|
3
|
|
4
|
|
5
|
|
6
|
Click
|
|
7
|
|
8
|
Click OK.
|
|
9
|
|
10
|
In the Source term quantity table, enter the following settings:
|
|
11
|
|
12
|
|
13
|
In the Dependent variables table, enter the following settings:
|
|
14
|
|
15
|
|
1
|
In the Model Builder window, under Component 1 (comp1)>Domain ODEs and DAEs 3 (dode3) click Distributed ODE 1.
|
|
2
|
|
3
|
|
4
|
|
1
|
|
2
|
|
3
|
|
1
|
|
3
|
|
4
|
|
1
|
|
3
|
|
4
|
|
1
|
|
2
|
|
3
|
|
4
|
|
1
|
|
2
|
|
3
|
|
4
|
|
5
|
|
1
|
|
2
|
|
3
|
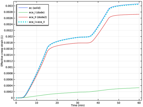
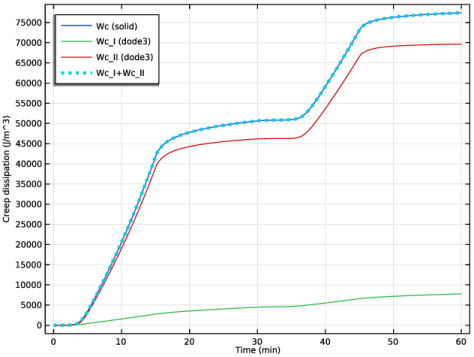
In the Output times text field, type range(0,0.5,14.5) range(14.6,0.1,15.4) range(15.5,0.5,29.5) range(29.6,0.1,30.4) range(30.5,0.5,44.5) range(44.6,0.1,45.4) range(45.5,0.5,60).
|
|
1
|
|
2
|
|
3
|
|
4
|
|
5
|
|
1
|
|
2
|
|
1
|
|
2
|
|
3
|
|
1
|
|
2
|
|
1
|
|
2
|
|
3
|
|
1
|
|
2
|
|
1
|
|
2
|
|
1
|
|
3
|
|
4
|
|
5
|
|
6
|
|
1
|
|
2
|
|
3
|
|
4
|
Locate the Legends section. In the table, enter the following settings:
|
|
1
|
|
2
|
|
3
|
|
4
|
Locate the Legends section. In the table, enter the following settings:
|
|
1
|
|
2
|
|
3
|
|
4
|
Locate the Legends section. In the table, enter the following settings:
|
|
1
|
|
2
|
|
3
|
|
4
|
|
5
|
|
6
|
|
1
|
|
2
|
|
3
|
|
5
|
|
6
|
|
1
|
|
2
|
|
3
|
|
4
|
Locate the Legends section. In the table, enter the following settings:
|
|
1
|
|
2
|
|
3
|
|
4
|
Locate the Legends section. In the table, enter the following settings:
|
|
1
|
|
2
|
|
3
|
|
4
|
Locate the Legends section. In the table, enter the following settings:
|
|
5
|
Click to expand the Coloring and Style section. Find the Line style subsection. From the Line list, choose Dotted.
|
|
6
|
|
1
|
|
2
|
|
3
|
|
4
|
|
5
|
|
6
|
|
1
|
|
2
|
|
1
|
|
2
|
|
3
|
|
4
|
Locate the Legends section. In the table, enter the following settings:
|
|
1
|
|
2
|
|
3
|
|
4
|
Locate the Legends section. In the table, enter the following settings:
|
|
1
|
|
2
|
|
3
|
|
4
|
Locate the Legends section. In the table, enter the following settings:
|
|
1
|
|
2
|
|
3
|
|
4
|
Locate the Legends section. In the table, enter the following settings:
|
|
1
|
|
2
|
|
3
|
|
4
|
|
1
|
|
2
|
|
3
|
|
4
|
Find the Physics interfaces in study subsection. In the table, clear the Solve check box for Study 1.
|
|
5
|
|
1
|
|
3
|
|
4
|
|
5
|
|
6
|
|
7
|
Locate the Fatigue Model Parameters section. From the εf′ list, choose User defined. In the associated text field, type 0.587.
|
|
8
|
|
1
|
|
2
|
|
3
|
Find the Physics interfaces in study subsection. In the table, clear the Solve check box for Study 1.
|
|
4
|
|
5
|
|
1
|
|
3
|
|
4
|
|
5
|
|
6
|
Locate the Fatigue Model Parameters section. From the Wf′ list, choose User defined. In the associated text field, type 74e6.
|
|
7
|
|
1
|
|
2
|
|
3
|
Find the Physics interfaces in study subsection. In the table, clear the Solve check boxes for Solid Mechanics (solid), Domain ODEs and DAEs (dode), Domain ODEs and DAEs 2 (dode2), and Domain ODEs and DAEs 3 (dode3).
|
|
4
|
Find the Studies subsection. In the Select Study tree, select Preset Studies for Selected Physics Interfaces>Fatigue.
|
|
5
|
|
6
|
|
1
|
|
2
|
Find the Values of variables not solved for subsection. From the Settings list, choose User controlled.
|
|
3
|
|
4
|
|
5
|
|
1
|
In the Model Builder window, expand the Results>Cycles to Failure (ftg)>Surface 1 node, then click Marker 1.
|
|
2
|
|
3
|
|
4
|
|
1
|
In the Model Builder window, expand the Results>Cycles to Failure (ftg2)>Surface 1 node, then click Marker 1.
|
|
2
|
|
3
|
|
4
|