You are viewing the documentation for an older COMSOL version. The latest version is available here.
PDF

Electric Motor Noise: Permanent Magnet Synchronous Motor
Introduction
Electric motors are ubiquitous in many different industries. Cars, white goods, heating, ventilation, and air conditioning (HVAC) systems require electric motors that not only have the right electromechanical characteristics, but also limit the noise generated during its operation. This model demonstrates how to analyze the noise generated by an electric motor during its operation at different speeds of rotation. The type of electric motor analyzed, a permanent magnet synchronous motor (PMSM) uses permanent magnets in the rotor and a variable frequency current traveling through the stator to generate torque.
Figure 1: Geometry of the electric motor without the surrounding domains.
The geometry of the electric motor is shown in Figure 1. The internal structure of the motor, shown on Figure 2, shows how there is a minimum angle of rotation that brings back the geometry to an equivalent of the initial position, based on the number of poles and coils.The existence of this minimal mechanical repetition angle, which for this motor is 60o, means that electromagnetic forces at any point will be repeated in a cycle that takes place 6 times for each turn of the rotor. The electromagnetic forces generated during its operation result in vibrations not only at the frequency of 6 times the frequency of rotation (of the rotor) but also at higher frequencies. These higher order frequencies are called the harmonics.
A transient analysis is used to determine the electromagnetic forces through a minimal mechanical repetition angle (in this case 60o). A Fourier transform is used to determine the contributions of each of these harmonics that repeat every 6, 12, 18... times during a complete turn of the rotor. These forces will act at multiples of 6 times the frequency of rotation.
The vibroacoustic response of the PMSM casing and its acoustic radiation is computed for each of these harmonics. A Campbell diagram is generated showing the main harmonics contributing to the acoustic response of the PMSM at various speeds of rotation.
Model Definition
The electromagnetic characteristics of a PMSM are typically well approximated by simulating a 2D section of the motor. In order to reduce the computational cost of the current analysis, the model uses this approximation and computes the electromagnetic forces using a 2D model. The section of the PMSM, shown in Figure 2, is used to compute the transient electromagnetic forces developed during its rotation. This transient simulation covers a rotation of 60°.
Figure 2: 2D section the electric motor with the surrounding air domains.
This analysis produces a spatial distribution of forces that are computed through the rotation and are transformed in the frequency domain by using the Time to Frequency FFT Solver. This solver performs a discrete Fourier transformation of a time-dependent variable and transforms it into a series of complex coefficients given by Equation 1
(1),
where ω(fk) is the complex Fourier coefficients for the frequency fk, u(tj) is the input signal at the time tj, i denotes the imaginary unit and N is the total number of samples of the input signal. For each frequency fk, this transformation produces a spatial distribution of complex forces. The fact that these forces are complex valued means that the excitation includes both the force magnitude and its phase, so different parts of the model will be excited at different phases.
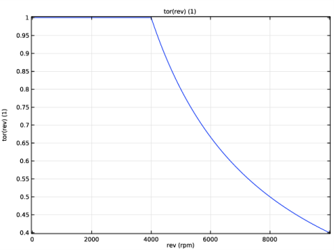
The frequency at which these electromagnetic forces are created is directly proportional to the speed of rotation of the rotor. As these forces produce an almost constant torque, the mechanical power generated by the motor is in fact proportional to the speed of rotation. This is usually true for small rotational speeds. The thermal losses in the coils are proportional to the mechanical power of the engine. As the rotational speed increases, these losses become substantial and the passive cooling is not able to keep up. This is what is called the thermal limit of the motor. Most motors control the torque-speed curve to avoid reaching the thermal limit. This curve usually keeps a constant torque for low rotational speeds and then a constant power at higher speeds. The model uses the torque-speed curve shown on Figure 3, but any other curve could be used instead.
Figure 3: Torque-Speed of rotation curve.
The electromagnetic forces generated will follow a cycle that repeats 6 times during a turn of the rotor. This cycle will have a main sinusoidal component but also sinusoidal components that repeat every 12, 18, 24... times during a turn of the rotor. These are called harmonics. Each of these harmonics will have a different contribution to the total noise at various driving frequencies. In the following step, the 2D harmonic forces are applied to the 3D model of the electric engine with the acoustic domains surrounding the motor. The frequency at which harmonic is applied will be a multiple of the speed of rotation of the rotor. Figure 4 shows the 3D geometry including the surrounding acoustic domains.
Figure 4: 3D geometry including the acoustic domains representing an open domain.
Once the frequency response to each of the harmonic excitation is known, it is possible to create a Campbell diagram, sometimes called Waterfall plot. The Campbell diagram shows, for a given location, the contribution of the different harmonics to the total noise level as a function of the rotational speed. This allows the identification of undesirable characteristics like frequencies where the casing is very efficient at radiating noise or harmonics which are dominant in the total noise.
Another method to present these results is to generate a time signal of the acoustic response at a given point as the rotational speed of the motor varies. Figure 5 shows the variation of the rotational speed during the duration of the acoustic signal used to generate the time signal. Any other duration of the time signal or variation profile of the rotational speed could be used.
Figure 5: Variation of the motor rotational speed during the duration of the acoustic signal.
This model presents a quick and efficient method to analyze the harmonic content of the sound generated by a PMSM. Other acoustic sources like the gear noise or the wind induced noise due to the refrigeration are not considered. Due to the limited frequency content of the harmonic noise, it is usually the noise that stands out in an electric motor and thus the main source that is tuned during the design of an electric motor.
Results and Discussion
Figure 6 shows the magnetic flux density norm and streamlines at four different angles. Note the rotation of the rotor and how the magnetic flux is concentrated in the areas close to the magnets and in the outer part of the coils.
Figure 6: Magnetic flux density norm and streamlines at four angles through the cycle.
The time-domain analysis produces a distribution of forces in the stator and rotor. As an example of the time variation of these forces, Figure 7 shows the components of the electromagnetic forces for two points in the model. This time signal is a periodic signal that will be repeated 6 times during a complete rotation of the rotor.
Figure 7: Time domain signal of the components of the electromagnetic forces at two points.
This time signal can be easily transformed into the frequency domain and normalized to the value of the first harmonic. Figure 8 shows how the FFT of the forces normalized to the first harmonic, has decreasing values as the frequency increases. The eighth harmonic has a contribution that is below 5% of the first harmonic, so considering seven harmonics in the analysis seems reasonable, as any higher order harmonics are likely to have very limited influence.
Figure 8: Frequency domain components of the electromagnetic forces at two points, normalized to the first harmonic value.
It is also relevant to analyze the spatial distribution of the different harmonics, not only its variation with frequency for a single point. Figure 9 shows the spatial distribution of the seventh harmonic, the last harmonic solved for. Harmonics above this one will require a finer mesh, as the higher the harmonic, the finer the spatial distribution of the electromagnetic forces. In order to solve harmonics above the seventh, the model would need to have a finer mesh, which would increase the computational time and will not add substantial contributions to the noise.
Figure 9: Spatial distribution of the electromagnetic forces in the frequency domain, showing both real (red arrows) and imaginary (blue arrows) parts.
The electromagnetic forces obtained in the 2D model can be translated to the 3D model using the General Extrusion feature. Figure 10 shows the 3D model and the forces generated by the third harmonic.
Figure 10: Real part of the electromagnetic forces applied to the 3D model for the third harmonic.
This forces, although compensated globally due to the symmetry of the motor, produce displacements in the structure that in turn are converted to acoustic pressure. Figure 11shows the displacement and acoustic pressure generated by the third harmonic at 2,360 Hz.
Figure 11: Displacements and acoustic pressures generated by the third harmonic at 2,360 Hz.
The Exterior Field feature permits the evaluation of the acoustic pressure at any point outside of the computational domain. Figure 12 shows the sound pressure level (SPL) at the surface of the motor and at 0.5 m away from the motor. Note how this radiation pattern has many lobes, meaning that the acoustic response will depend greatly on the position of the listening point.
Figure 12: Sound pressure level at the surface of the motor and 0.5 m away.
The contribution of the different harmonics can be seen in a Campbell diagram. A Campbell diagram shows, for a given listening point, the sound pressure level of each harmonic as a function of the speed of rotation of the motor. Figure 13 shows how the two microphones present very different Campbell diagrams. Note how the first and third harmonics have the largest influence on the noise level for both microphone positions. Note as well how the first microphone shows increased noise levels around 2,500 Hz for most of the harmonics, indicating that there is a casing mode making this frequency stand out. A similar effect is found for the second microphone slightly below 2,500 Hz and around 1800 Hz.
Figure 13: Campbell diagrams at the microphones.
Notes About the COMSOL Implementation
The electromagnetic model contains two different objects forming an assembly. Having independent meshes in each of the objects permits the rotation of the rotor using the Rotating Domain feature.
The electromagnetic analysis study composes two steps, a stationary analysis and a time dependent analysis. The stationary analysis is used to initialize the electromagnetic field as the system contains permanent magnets and nonzero currents at the initial time. Trying to solve the time dependent analysis without the stationary part assumes that the currents are switched on and the magnets added at first time step. This will make the convergence almost impossible. Turning the Jacobian update to every iteration on the time dependent analysis reduces the total running time.
The electromagnetic forces are computed through the use of the Force Calculation feature available in the Magnetic Fields physics. A Weak Form Boundary PDE is used to store the electromagnetic forces at the interfaces and produce a FFT only of these forces, instead of the complete solution.
The Time to Frequency FFT study is used to transform a spatial and time dependent variable into a complex variable in the frequency domain. Once that the electromagnetic forces are expressed in the frequency domain, it is simpler to produce frequency response analysis for a varying excitation.
The General Extrusion feature is used to transform variables existing in a component to another component with different coordinates or even different number of dimensions. In this case, the 2D results are translated to the 3D component using the comp.genext() operator.
The operator withsol() is used to select the right harmonic of the excitation forces in the frequency sweep. As an example, the expression, withsol('sol3',Fy,setval(freq,f0*(harm_exc))), takes the variable Fy from the sol3 (The results of the FFT) with the frequency matching f0 (the speed of rotation of the rotor in the initial transient analysis) times the number of the harmonic excited.
The frequency request in the vibroacoustic analysis uses the expression range(360[deg]/theta*rpm_idle*harm_exc,fdelta,min(fmax,rpm_max/rpm0*f0*harm_exc)) min(fmax,rpm_max/rpm0*f0*harm_exc) which is a frequency sweep starting at 6 times rpm_idle times the number of the harmonic excited, taking steps every fdelta and stopping when the rotational speed reaches rpm_max or the frequency reaches fmax, whatever happens first.
The solver in the vibroacoustic analysis is set manually to a segregated solver with 1 iteration, meaning that the displacements will be obtained first and the acoustic pressure will be computed based on these displacements, without back coupling of the acoustic pressure into the structural problem. This is an adequate approach for problems where vibrating structures radiate noise into the environment, and allows for a reduction in the running times. This assumption should always be confirmed with a fully coupled analysis.
The model takes approximately 8 hours to run on a workstation with a sweep of 7 harmonics and outputs every 50 Hz. This run time can be significantly reduced by using distributed cluster computation or reducing the number of frequencies or harmonics requested.
The acoustic signal is exported to a .wav file that could be listened to or postprocess with any other tool.
Application Library path: Acoustics_Module/Automotive/electric_motor_noise_pmsm
Modeling Instructions
From the File menu, choose New.
New
In the New window, click  Model Wizard.
Model Wizard
1
In the Model Wizard window, click  2D.
2
In the Select Physics tree, select AC/DC>Electromagnetic Fields>Magnetic Fields (mf).
3
Click Add.
4
In the Select Physics tree, select Mathematics>PDE Interfaces>Lower Dimensions>Weak Form Boundary PDE (wb).
5
Click Add.
6
Click  Study.
7
In the Select Study tree, select General Studies>Stationary.
8
Root
The first study uses the cross section of the electric engine to compute the electromagnetic excitation. Proceed to add a 3D component and import the geometry of the engine.
Add Component
In the Home toolbar, click  Add Component and choose 3D.
Geometry 2
1
In the Geometry toolbar, click Insert Sequence and choose Insert Sequence.
2
3
In the Geometry toolbar, click  Build All.
4
Click the  Wireframe Rendering button in the Graphics toolbar.
5
Click the  Show Grid button in the Graphics toolbar.
Wireframe rendering allows for an easier visualization of the geometry. The geometry should look like Figure 4.
Form Assembly (fin)
1
In the Model Builder window, under Component 2 (comp2)>Geometry 2 click Form Assembly (fin).
2
In the Settings window for Form Union/Assembly, locate the Form Union/Assembly section.
3
Clear the Create pairs check box.
The imported COMSOL file includes a set of parameters which facilitate the update of the electric engine. Update the name of the parameter group.
Global Definitions
Geometry parameters
1
In the Model Builder window, under Global Definitions click Parameters 1.
2
In the Settings window for Parameters, type Geometry parameters in the Label text field.
Add a new parameter group and populate this group with the parameters imported from an external file. This second parameter group includes parameter related to the modeling.
Model Parameters
1
In the Home toolbar, click  Parameters and choose Add>Parameters.
2
In the Settings window for Parameters, type Model Parameters in the Label text field.
3
Locate the Parameters section. Click  Load from File.
4
Add a Cross Section feature to generate the 2D geometry. As the rotor will be rotating through a Rotating Domain feature, it is necessary that the 2D geometry is created as an assembly.
Geometry 1
In the Model Builder window, under Component 1 (comp1) click Geometry 1.
Cross Section 1 (cro1)
1
In the Geometry toolbar, click  Cross Section.
2
In the Settings window for Cross Section, click  Build Selected.
Form Union (fin)
1
In the Model Builder window, under Component 1 (comp1)>Geometry 1 click Form Union (fin).
2
In the Settings window for Form Union/Assembly, locate the Form Union/Assembly section.
3
From the Action list, choose Form an assembly.
4
In the Geometry toolbar, click  Build All.
The geometry should look like Figure 2.
Now proceed to create some selections that will be used during the model definition.
Definitions (comp1)
Shaft
1
In the Definitions toolbar, click  Explicit.
2
In the Settings window for Explicit, type Shaft in the Label text field.
3
Laminated rotor
1
In the Definitions toolbar, click  Explicit.
2
In the Settings window for Explicit, type Laminated rotor in the Label text field.
3
Magnets A
1
In the Definitions toolbar, click  Explicit.
2
In the Settings window for Explicit, type Magnets A in the Label text field.
3
Magnets B
1
In the Definitions toolbar, click  Explicit.
2
In the Settings window for Explicit, type Magnets B in the Label text field.
3
Magnets
1
In the Definitions toolbar, click  Union.
2
In the Settings window for Union, type Magnets in the Label text field.
3
Locate the Input Entities section. Under Selections to add, click  Add.
4
In the Add dialog box, in the Selections to add list, choose Magnets A and Magnets B.
5
Inner air gap
1
In the Definitions toolbar, click  Explicit.
2
In the Settings window for Explicit, type Inner air gap in the Label text field.
3
Rotor
1
In the Definitions toolbar, click  Union.
2
In the Settings window for Union, type Rotor in the Label text field.
3
Locate the Input Entities section. Under Selections to add, click  Add.
4
In the Add dialog box, in the Selections to add list, choose Shaft, Laminated rotor, and Magnets.
5
Rotating parts
1
In the Definitions toolbar, click  Union.
2
In the Settings window for Union, type Rotating parts in the Label text field.
3
Locate the Input Entities section. Under Selections to add, click  Add.
4
In the Add dialog box, in the Selections to add list, choose Inner air gap and Rotor.
5
Fixed Parts
1
In the Definitions toolbar, click  Complement.
2
In the Settings window for Complement, type Fixed Parts in the Label text field.
3
Locate the Input Entities section. Under Selections to invert, click  Add.
4
In the Add dialog box, select Rotating parts in the Selections to invert list.
5
Coils A
1
In the Definitions toolbar, click  Explicit.
2
In the Settings window for Explicit, type Coils A in the Label text field.
3
Coils B
1
In the Definitions toolbar, click  Explicit.
2
In the Settings window for Explicit, type Coils B in the Label text field.
3
Coils C
1
In the Definitions toolbar, click  Explicit.
2
In the Settings window for Explicit, type Coils C in the Label text field.
3
Coils
1
In the Definitions toolbar, click  Union.
2
In the Settings window for Union, type Coils in the Label text field.
3
Locate the Input Entities section. Under Selections to add, click  Add.
4
In the Add dialog box, in the Selections to add list, choose Coils A, Coils B, and Coils C.
5
Outer air gap
1
In the Definitions toolbar, click  Explicit.
2
In the Settings window for Explicit, type Outer air gap in the Label text field.
3
Exterior air
1
In the Definitions toolbar, click  Explicit.
2
In the Settings window for Explicit, type Exterior air in the Label text field.
3
Casing
1
In the Definitions toolbar, click  Explicit.
2
In the Settings window for Explicit, type Casing in the Label text field.
3
Air
1
In the Definitions toolbar, click  Union.
2
In the Settings window for Union, type Air in the Label text field.
3
Locate the Input Entities section. Under Selections to add, click  Add.
4
In the Add dialog box, in the Selections to add list, choose Inner air gap, Outer air gap, and Exterior air.
5
Stator forces
1
In the Definitions toolbar, click  Difference.
2
In the Settings window for Difference, type Stator forces in the Label text field.
3
Locate the Input Entities section. Under Selections to add, click  Add.
4
In the Add dialog box, select Fixed Parts in the Selections to add list.
5
6
In the Settings window for Difference, locate the Input Entities section.
7
Under Selections to subtract, click  Add.
8
In the Add dialog box, in the Selections to subtract list, choose Coils, Casing, and Air.
9
External boundaries
1
In the Model Builder window, right-click Selections and choose Disk.
2
In the Settings window for Disk, type External boundaries in the Label text field.
3
Locate the Geometric Entity Level section. From the Level list, choose Boundary.
4
Locate the Size and Shape section. In the Outer radius text field, type inf.
5
In the Inner radius text field, type r_stator.
Adjacent to rotor forces
1
In the Definitions toolbar, click  Adjacent.
2
In the Settings window for Adjacent, type Adjacent to rotor forces in the Label text field.
3
Locate the Input Entities section. Under Input selections, click  Add.
4
In the Add dialog box, select Rotor in the Input selections list.
5
Adjacent to stator forces
1
In the Definitions toolbar, click  Adjacent.
2
In the Settings window for Adjacent, type Adjacent to stator forces in the Label text field.
3
Locate the Input Entities section. Under Input selections, click  Add.
4
In the Add dialog box, select Stator forces in the Input selections list.
5
Force calculation
1
In the Definitions toolbar, click  Difference.
2
In the Settings window for Difference, type Force calculation in the Label text field.
3
Locate the Geometric Entity Level section. From the Level list, choose Boundary.
4
Locate the Input Entities section. Under Selections to add, click  Add.
5
In the Add dialog box, in the Selections to add list, choose Adjacent to rotor forces and Adjacent to stator forces.
6
7
In the Settings window for Difference, locate the Input Entities section.
8
Under Selections to subtract, click  Add.
9
In the Add dialog box, select External boundaries in the Selections to subtract list.
10
Adjacent to air gaps and coils
1
In the Definitions toolbar, click  Adjacent.
2
In the Settings window for Adjacent, type Adjacent to air gaps and coils in the Label text field.
3
Locate the Input Entities section. Under Input selections, click  Add.
4
In the Add dialog box, in the Input selections list, choose Inner air gap, Coils, and Outer air gap.
5
Iron
1
In the Definitions toolbar, click  Union.
2
In the Settings window for Union, type Iron in the Label text field.
3
Locate the Input Entities section. Under Selections to add, click  Add.
4
In the Add dialog box, in the Selections to add list, choose Shaft, Laminated rotor, and Stator forces.
5
Force calculation domains
1
In the Definitions toolbar, click  Union.
2
In the Settings window for Union, type Force calculation domains in the Label text field.
3
Locate the Input Entities section. Under Selections to add, click  Add.
4
In the Add dialog box, in the Selections to add list, choose Inner air gap, Coils, and Outer air gap.
5
Adjacent to air gap in the stator
1
In the Definitions toolbar, click  Difference.
2
In the Settings window for Difference, type Adjacent to air gap in the stator in the Label text field.
3
Locate the Geometric Entity Level section. From the Level list, choose Boundary.
4
Locate the Input Entities section. Under Selections to add, click  Add.
5
In the Add dialog box, select Adjacent to stator forces in the Selections to add list.
6
7
In the Settings window for Difference, locate the Input Entities section.
8
Under Selections to subtract, click  Add.
9
In the Add dialog box, select External boundaries in the Selections to subtract list.
10
Add a variable that will define the rotation both in a stationary and a time dependent step.
Variables 1
1
In the Model Builder window, under Component 1 (comp1) right-click Definitions and choose Variables.
2
In the Settings window for Variables, locate the Variables section.
3
The General Extrusion coupling operator to map the 2D results into the 3D geometry. This operator allows to map geometries even when the coordinate axes are not aligned.
General Extrusion 1 (genext1)
1
In the Definitions toolbar, click  Nonlocal Couplings and choose General Extrusion.
2
In the Settings window for General Extrusion, locate the Source Selection section.
3
From the Geometric entity level list, choose Boundary.
4
From the Selection list, choose Force calculation.
5
Locate the Destination Map section. In the x-expression text field, type y.
6
In the y-expression text field, type z.
7
Locate the Source section. Select the Use source map check box.
8
Click to expand the Advanced section. From the Mesh search method list, choose Closest point.
9
Select the Use NaN when mapping fails check box.
Add a Cylindrical System that will be used to define the orientation of the magnets.
Cylindrical System 3 (sys3)
In the Definitions toolbar, click  Coordinate Systems and choose Cylindrical System.
The Rotating Domain allows for the rotor to move independently of the stator.
Component 1 (comp1)
Rotating Domain 1
1
In the Definitions toolbar, click  Moving Mesh and choose Domains>Rotating Domain.
2
In the Settings window for Rotating Domain, locate the Domain Selection section.
3
From the Selection list, choose Rotating parts.
4
Locate the Rotation section. In the α text field, type rotation.
In the next steps, add the materials that make the section of the engine.
Materials
Non-magnetic parts
1
In the Model Builder window, under Component 1 (comp1) right-click Materials and choose Blank Material.
2
In the Settings window for Material, type Non-magnetic parts in the Label text field.
Populate the missing properties of the material.
3
Locate the Material Contents section. In the table, enter the following settings:
Add Material
1
In the Home toolbar, click  Add Material to open the Add Material window.
2
Go to the Add Material window.
3
In the tree, select AC/DC>Soft Iron (Without Losses).
4
Click Add to Component in the window toolbar.
Materials
Soft Iron (Without Losses) (mat2)
1
In the Settings window for Material, locate the Geometric Entity Selection section.
2
From the Selection list, choose Iron.
Add a relative permeability of 1 to the material.
3
Locate the Material Contents section. In the table, enter the following settings:
Add Material
1
Go to the Add Material window.
2
3
Click Add to Component in the window toolbar.
Materials
Copper (mat3)
1
In the Settings window for Material, locate the Geometric Entity Selection section.
2
From the Selection list, choose Coils.
Add Material
1
Go to the Add Material window.
2
In the tree, select AC/DC>Hard Magnetic Materials>Sintered NdFeB Grades (Chinese Standard)>N40 (Sintered NdFeB).
3
Click Add to Component in the window toolbar.
4
In the tree, select Built-in>Aluminum 6063-T83.
5
Click Add to Component in the window toolbar.
6
In the Home toolbar, click  Add Material to close the Add Material window.
Materials
N40 (Sintered NdFeB) (mat4)
1
In the Model Builder window, under Component 1 (comp1)>Materials click N40 (Sintered NdFeB) (mat4).
2
In the Settings window for Material, locate the Geometric Entity Selection section.
3
From the Selection list, choose Magnets.
Aluminum 6063-T83 (mat5)
1
In the Model Builder window, click Aluminum 6063-T83 (mat5).
2
In the Settings window for Material, locate the Geometric Entity Selection section.
3
From the Selection list, choose Casing.
Magnetic Fields (mf)
Specify the length of the engine.
1
In the Model Builder window, under Component 1 (comp1) click Magnetic Fields (mf).
2
In the Settings window for Magnetic Fields, locate the Thickness section.
3
In the d text field, type Ltransv.
Use linear discretization and solve only in magnetically relevant regions to increase robustness of the solver.
4
Click to expand the Discretization section. From the Magnetic vector potential list, choose Linear.
5
Non magnetic domains
1
In the Model Builder window, under Component 1 (comp1)>Magnetic Fields (mf) click Ampère’s Law 1.
2
In the Settings window for Ampère’s Law, type Non magnetic domains in the Label text field.
As part of these domains will be rotating, it is necessary to change the material type to solid.
3
Locate the Material Type section. From the Material type list, choose Solid.
Iron domains
1
In the Physics toolbar, click  Domains and choose Ampère’s Law.
2
In the Settings window for Ampère’s Law, type Iron domains in the Label text field.
3
Locate the Domain Selection section. From the Selection list, choose Iron.
As the rotor is partially composed of iron parts, it is necessary to change the material type to solid.
4
Locate the Material Type section. From the Material type list, choose Solid.
5
Locate the Constitutive Relation B-H section. From the Magnetization model list, choose B-H curve.
Magnets A
1
In the Physics toolbar, click  Domains and choose Ampère’s Law.
2
In the Settings window for Ampère’s Law, type Magnets A in the Label text field.
3
Locate the Domain Selection section. From the Selection list, choose Magnets A.
4
Locate the Material Type section. From the Material type list, choose Solid.
The magnets are oriented along the tangent direction of the rotor.
5
Locate the Coordinate System Selection section. From the Coordinate system list, choose Cylindrical System 3 (sys3).
6
Locate the Constitutive Relation B-H section. From the Magnetization model list, choose Remanent flux density.
7
Locate the Constitutive Relation Jc-E section. From the σ list, choose User defined.
Magnets B
1
Right-click Magnets A and choose Duplicate.
2
In the Settings window for Ampère’s Law, type Magnets B in the Label text field.
3
Locate the Domain Selection section. From the Selection list, choose Magnets B.
4
Locate the Constitutive Relation B-H section. Specify the e vector as
Proceed to define the engine coil groups.
Coils A
1
In the Physics toolbar, click  Domains and choose Coil.
2
In the Settings window for Coil, type Coils A in the Label text field.
3
Locate the Domain Selection section. From the Selection list, choose Coils A.
4
Locate the Material Type section. From the Material type list, choose Solid.
5
Locate the Coil section. From the Conductor model list, choose Homogenized multiturn.
6
Select the Coil group check box.
7
In the Icoil text field, type I0*cos(3*rotation).
8
Locate the Homogenized Multiturn Conductor section. In the N text field, type Ncoil.
9
In the awire text field, type a_coil.
Add a Reversed Current Direction feature to represent the part of the coil with current traveling in the opposing direction.
Reversed Current Direction 1
1
In the Physics toolbar, click  Attributes and choose Reversed Current Direction.
2
Coils B
1
In the Model Builder window, right-click Coils A and choose Duplicate.
2
In the Settings window for Coil, type Coils B in the Label text field.
3
Locate the Domain Selection section. From the Selection list, choose Coils B.
4
Locate the Coil section. In the Icoil text field, type I0*cos(3*rotation-120[deg]).
Reversed Current Direction 1
1
In the Model Builder window, expand the Coils B node, then click Reversed Current Direction 1.
2
In the Settings window for Reversed Current Direction, locate the Domain Selection section.
3
Click  Clear Selection.
4
Coils C
1
In the Model Builder window, right-click Coils B and choose Duplicate.
2
In the Settings window for Coil, type Coils C in the Label text field.
3
Locate the Domain Selection section. From the Selection list, choose Coils C.
4
Locate the Coil section. In the Icoil text field, type I0*cos(3*rotation-240[deg]).
Reversed Current Direction 1
1
In the Model Builder window, expand the Coils C node, then click Reversed Current Direction 1.
2
In the Settings window for Reversed Current Direction, locate the Domain Selection section.
3
Click  Clear Selection.
4
Add a Continuity feature to make sure that the electromagnetic fields are continuous through the identity pair.
Continuity 1
1
In the Physics toolbar, click  Pairs and choose Continuity.
2
In the Settings window for Continuity, locate the Pair Selection section.
3
Under Pairs, click  Add.
4
In the Add dialog box, select Identity Boundary Pair 2 (ap2) in the Pairs list.
5
Add a Force Calculation feature to define the force and torque variables from the rotor and stator.
Force Calculation Rotor
1
In the Physics toolbar, click  Domains and choose Force Calculation.
2
In the Settings window for Force Calculation, type Force Calculation Rotor in the Label text field.
3
Locate the Domain Selection section. From the Selection list, choose Rotor.
4
Locate the Force Calculation section. In the Force name text field, type rot.
Force Calculation Stator
1
Right-click Force Calculation Rotor and choose Duplicate.
2
In the Settings window for Force Calculation, type Force Calculation Stator in the Label text field.
3
Locate the Domain Selection section. From the Selection list, choose Stator forces.
4
Locate the Force Calculation section. In the Force name text field, type stat.
The Weak Form Boundary PDE physics is used for the single purpose of limiting the output of the model. The forces at the boundaries will be stored from the time dependent analysis and transformed into the frequency domain through a Time to Frequency FFT study step.
Weak Form Boundary PDE (wb)
1
In the Model Builder window, under Component 1 (comp1) click Weak Form Boundary PDE (wb).
2
In the Settings window for Weak Form Boundary PDE, locate the Boundary Selection section.
3
From the Selection list, choose Force calculation.
4
Click to expand the Discretization section. From the Element order list, choose Linear.
5
Click to expand the Dependent Variables section. In the Number of dependent variables text field, type 2.
6
In the Dependent variables table, enter the following settings:
7
Locate the Units section. Click  Define Dependent Variable Unit.
8
In the Dependent variable quantity table, enter the following settings:
9
Click  Define Source Term Unit.
10
In the Source term quantity table, enter the following settings:
Fx and Fy take their values from the electromagnetic forces computed through the Force Calculation feature. As the rotor is rotating, some coordinate transformation is required.
Initial Values 1
1
In the Model Builder window, under Component 1 (comp1)>Weak Form Boundary PDE (wb) click Initial Values 1.
2
In the Settings window for Initial Values, locate the Initial Values section.
3
In the Fx text field, type if(isnan(mf.nTx_stat),mf.nTx_rot*cos(rotation)+mf.nTy_rot*sin(rotation),mf.nTx_stat).
4
In the Fy text field, type if(isnan(mf.nTy_stat),-mf.nTx_rot*sin(rotation)+mf.nTy_rot*cos(rotation),mf.nTy_stat).
Now proceed to mesh the Component 1.
Mesh 1
Free Triangular 1
In the Mesh toolbar, click  Free Triangular.
Size
1
In the Model Builder window, click Size.
2
In the Settings window for Size, locate the Element Size section.
3
Click the Custom button.
4
Locate the Element Size Parameters section. In the Maximum element size text field, type 4[mm].
5
In the Minimum element size text field, type 1[mm].
6
In the Maximum element growth rate text field, type 1.15.
7
In the Curvature factor text field, type 0.1.
Size 1
1
In the Model Builder window, right-click Free Triangular 1 and choose Size.
2
In the Settings window for Size, locate the Geometric Entity Selection section.
3
From the Geometric entity level list, choose Boundary.
4
From the Selection list, choose Force calculation.
5
Locate the Element Size section. Click the Custom button.
6
Locate the Element Size Parameters section.
7
Select the Maximum element size check box. In the associated text field, type 0.3[mm].
8
Select the Minimum element size check box. In the associated text field, type 0.15[mm].
9
Select the Maximum element growth rate check box. In the associated text field, type 1.05.
10
Select the Curvature factor check box. In the associated text field, type 0.05.
11
Click  Build All.
Add a Boundary Layer feature to make the force calculation more precise.
Boundary Layers 1
1
In the Mesh toolbar, click  Boundary Layers.
2
In the Settings window for Boundary Layers, click to expand the Transition section.
3
Clear the Smooth transition to interior mesh check box.
Boundary Layer Properties
1
In the Model Builder window, click Boundary Layer Properties.
2
In the Settings window for Boundary Layer Properties, locate the Boundary Selection section.
3
From the Selection list, choose Force calculation.
4
Locate the Layers section. In the Number of layers text field, type 1.
5
Click  Build All.
The image should look like this.
Study 1
Time Dependent
1
In the Study toolbar, click  Study Steps and choose Time Dependent>Time Dependent.
2
In the Settings window for Time Dependent, locate the Study Settings section.
3
In the Output times text field, type range(0,1/12/n_harmonics,1)*t_tot.
4
Locate the Physics and Variables Selection section. In the table, clear the Solve for check box for Weak Form Boundary PDE (wb).
5
Click to expand the Values of Dependent Variables section. Find the Initial values of variables solved for subsection. From the Settings list, choose User controlled.
6
From the Method list, choose Solution.
7
From the Study list, choose Study 1, Stationary.
8
Click to expand the Mesh Selection section. There is no need to use the mesh coming from the second component.
9
Step 1: Stationary
1
In the Model Builder window, click Step 1: Stationary.
2
In the Settings window for Stationary, locate the Physics and Variables Selection section.
3
In the table, clear the Solve for check box for Weak Form Boundary PDE (wb).
4
Click to expand the Mesh Selection section. There is no need to use the mesh coming from the second component.
5
Change the solver options by showing the default solver.
6
In the Model Builder window, click Study 1.
7
In the Settings window for Study, type Study 1 - Electromagnetic Analysis in the Label text field.
Solution 1 (sol1)
1
In the Study toolbar, click  Show Default Solver.
2
In the Model Builder window, expand the Solution 1 (sol1) node.
3
In the Model Builder window, expand the Study 1 - Electromagnetic Analysis>Solver Configurations>Solution 1 (sol1)>Time-Dependent Solver 1 node, then click Fully Coupled 1.
4
In the Settings window for Fully Coupled, click to expand the Method and Termination section.
5
From the Jacobian update list, choose On every iteration.
Turning the Jacobian update to every iteration will reduce the running time.
6
In the Study toolbar, click  Compute.
Results
Magnetic Flux Density Norm (mf)
The following steps guide you through the postprocess of the model.
Study 1 - Electromagnetic Analysis/Solution 1 (sol1)
In the Model Builder window, expand the Results>Datasets node.
Surface 1
1
In the Model Builder window, expand the Results>Magnetic Flux Density Norm (mf) node, then click Surface 1.
2
In the Settings window for Surface, click to expand the Range section.
3
Select the Manual color range check box.
4
In the Minimum text field, type 0.
5
In the Maximum text field, type 1.5.
Magnetic Flux Density Norm (mf)
1
In the Model Builder window, click Magnetic Flux Density Norm (mf).
2
In the Settings window for 2D Plot Group, click to expand the Title section.
3
From the Title type list, choose Label.
4
Locate the Color Legend section. Clear the Show legends check box.
Arrow Line 1
1
Right-click Magnetic Flux Density Norm (mf) and choose Arrow Line.
2
In the Settings window for Arrow Line, locate the Expression section.
3
In the x-component text field, type mf.nTx_stat.
4
In the y-component text field, type mf.nTy_stat.
5
Locate the Arrow Positioning section. From the Placement list, choose Gauss points.
6
In the Magnetic Flux Density Norm (mf) toolbar, click  Plot.
Arrow Line 2
1
Right-click Magnetic Flux Density Norm (mf) and choose Arrow Line.
2
In the Settings window for Arrow Line, locate the Expression section.
3
In the x-component text field, type mf.nTx_rot.
4
In the y-component text field, type mf.nTy_rot.
5
Locate the Arrow Positioning section. From the Placement list, choose Gauss points.
6
Click to expand the Title section. From the Title type list, choose None.
7
Locate the Coloring and Style section. From the Color list, choose Blue.
8
In the Magnetic Flux Density Norm (mf) toolbar, click  Plot.
Loop through the different frequencies to reproduce the plots in Figure 6.
Electromagnetic Forces in Selected Points, Time Domain
1
In the Home toolbar, click  Add Plot Group and choose 1D Plot Group.
2
In the Settings window for 1D Plot Group, type Electromagnetic Forces in Selected Points, Time Domain in the Label text field.
3
Locate the Plot Settings section.
4
Select the y-axis label check box. In the associated text field, type Stress (MPa).
5
Click to expand the Title section. From the Title type list, choose Label.
6
Locate the Legend section. From the Position list, choose Lower right.
Point Graph 1
1
Right-click Electromagnetic Forces in Selected Points, Time Domain and choose Point Graph.
2
3
In the Settings window for Point Graph, locate the y-Axis Data section.
4
In the Expression text field, type abs(mf.nTx_stat).
5
From the Unit list, choose MPa.
6
Select the Description check box. In the associated text field, type Absolute x stress.
7
Click to expand the Legends section. Select the Show legends check box.
8
Find the Include subsection. Select the Description check box.
9
Click to expand the Coloring and Style section. Find the Line markers subsection. From the Marker list, choose Point.
10
In the Electromagnetic Forces in Selected Points, Time Domain toolbar, click  Plot.
Point Graph 2
1
Right-click Point Graph 1 and choose Duplicate.
2
In the Settings window for Point Graph, locate the y-Axis Data section.
3
In the Expression text field, type abs(mf.nTy_stat).
4
In the Description text field, type Absolute y stress.
Point Graph 3
1
Right-click Point Graph 2 and choose Duplicate.
2
In the Settings window for Point Graph, locate the Selection section.
3
Click  Clear Selection.
4
5
Locate the y-Axis Data section. In the Expression text field, type abs(mf.nTx_stat).
6
In the Description text field, type Absolute x stress.
Point Graph 4
1
Right-click Point Graph 3 and choose Duplicate.
2
In the Settings window for Point Graph, locate the y-Axis Data section.
3
In the Expression text field, type abs(mf.nTy_stat).
4
In the Description text field, type Absolute y stress.
5
In the Electromagnetic Forces in Selected Points, Time Domain toolbar, click  Plot.
The image should look like Figure 7.
Electromagnetic Forces in Selected Points, FFT
1
In the Model Builder window, right-click Electromagnetic Forces in Selected Points, Time Domain and choose Duplicate.
2
In the Model Builder window, click Electromagnetic Forces in Selected Points, Time Domain 1.
3
In the Settings window for 1D Plot Group, type Electromagnetic Forces in Selected Points, FFT in the Label text field.
4
Locate the Plot Settings section.
5
Select the x-axis label check box. In the associated text field, type Frequency (Hz).
6
In the y-axis label text field, type Fourier Coefficient (MPa).
7
Locate the Legend section. From the Position list, choose Upper right.
Point Graph 1
1
In the Model Builder window, click Point Graph 1.
2
In the Settings window for Point Graph, locate the x-Axis Data section.
3
From the Parameter list, choose Discrete Fourier transform.
4
From the Show list, choose Frequency spectrum.
5
Select the Frequency range check box.
6
In the Minimum text field, type f0/2.
7
In the Maximum text field, type f0*(n_harmonics+1).
Point Graph 2
1
In the Model Builder window, click Point Graph 2.
2
In the Settings window for Point Graph, locate the x-Axis Data section.
3
From the Parameter list, choose Discrete Fourier transform.
4
From the Show list, choose Frequency spectrum.
5
Select the Frequency range check box.
6
In the Minimum text field, type f0/2.
7
In the Maximum text field, type f0*(n_harmonics+1).
Point Graph 3
1
In the Model Builder window, click Point Graph 3.
2
In the Settings window for Point Graph, locate the x-Axis Data section.
3
From the Parameter list, choose Discrete Fourier transform.
4
From the Show list, choose Frequency spectrum.
5
Select the Frequency range check box.
6
In the Minimum text field, type f0/2.
7
In the Maximum text field, type f0*(n_harmonics+1).
Point Graph 4
1
In the Model Builder window, click Point Graph 4.
2
In the Settings window for Point Graph, locate the x-Axis Data section.
3
From the Parameter list, choose Discrete Fourier transform.
4
From the Show list, choose Frequency spectrum.
5
Select the Frequency range check box.
6
In the Minimum text field, type f0/2.
7
In the Maximum text field, type f0*(n_harmonics+1).
8
Click the  y-Axis Log Scale button in the Graphics toolbar.
9
In the Electromagnetic Forces in Selected Points, FFT toolbar, click  Plot.
The image should look like this.
Electromagnetic Forces in Selected Points, FFT , Normalized to First Harmonic
1
In the Model Builder window, right-click Electromagnetic Forces in Selected Points, FFT and choose Duplicate.
2
In the Settings window for 1D Plot Group, type Electromagnetic Forces in Selected Points, FFT , Normalized to First Harmonic in the Label text field.
3
Locate the Plot Settings section. In the y-axis label text field, type Normalized Fourier Coefficient (1).
4
Locate the Legend section. From the Position list, choose Lower left.
Now proceed to normalize the values using the first harmonic coefficient.
Point Graph 1
1
In the Model Builder window, expand the Electromagnetic Forces in Selected Points, FFT , Normalized to First Harmonic node, then click Point Graph 1.
2
In the Settings window for Point Graph, locate the y-Axis Data section.
3
In the Expression text field, type abs(mf.nTx_stat)/5.4675[MPa].
4
In the Description text field, type Absolute x stress normalized to first harmonic.
Point Graph 2
1
In the Model Builder window, click Point Graph 2.
2
In the Settings window for Point Graph, locate the y-Axis Data section.
3
In the Expression text field, type abs(mf.nTy_stat)/0.330696[MPa].
4
In the Description text field, type Absolute y stress normalized to first harmonic.
Point Graph 3
1
In the Model Builder window, click Point Graph 3.
2
In the Settings window for Point Graph, locate the y-Axis Data section.
3
In the Expression text field, type abs(mf.nTx_stat)/0.079339[MPa].
4
In the Description text field, type Absolute x stress normalized to first harmonic.
Point Graph 4
1
In the Model Builder window, click Point Graph 4.
2
In the Settings window for Point Graph, locate the y-Axis Data section.
3
In the Expression text field, type abs(mf.nTy_stat)/6.187[MPa].
4
In the Description text field, type Absolute y stress normalized to first harmonic.
5
In the Electromagnetic Forces in Selected Points, FFT , Normalized to First Harmonic toolbar, click  Plot.
The image should look like Figure 8.
Create a new study to transform the electromagnetic forces to the frequency domain.
Add Study
1
In the Home toolbar, click  Add Study to open the Add Study window.
2
Go to the Add Study window.
3
Find the Studies subsection. In the Select Study tree, select Empty Study.
4
Click Add Study in the window toolbar.
5
In the Home toolbar, click  Add Study to close the Add Study window.
Study 2 - Electromagnetic Forces FFT
In the Settings window for Study, type Study 2 - Electromagnetic Forces FFT in the Label text field.
Time to Frequency FFT
1
In the Study toolbar, click  Study Steps and choose Frequency Domain>Time to Frequency FFT.
2
In the Settings window for Time to Frequency FFT, locate the Study Settings section.
3
From the Prescribed by list, choose Initial expression.
4
From the Input study list, choose Study 1 - Electromagnetic Analysis, Time Dependent.
5
In the End time text field, type t_tot.
6
In the Maximum output frequency text field, type n_harmonics/t_tot.
7
Locate the Physics and Variables Selection section. In the table, clear the Solve for check box for Magnetic Fields (mf).
8
In the Study toolbar, click  Compute.
Results
Electromagnetic Forces, FFT
1
In the Settings window for 2D Plot Group, type Electromagnetic Forces, FFT in the Label text field.
2
Locate the Plot Settings section. Clear the Plot dataset edges check box.
Line 1
1
In the Model Builder window, expand the Electromagnetic Forces, FFT node, then click Line 1.
2
In the Settings window for Line, click to expand the Title section.
3
From the Title type list, choose None.
4
Locate the Coloring and Style section. From the Line type list, choose Tube.
5
In the Tube radius expression text field, type 0.0002.
6
Select the Radius scale factor check box.
7
From the Coloring list, choose Uniform.
8
From the Color list, choose Black.
Arrow Line 1
1
In the Model Builder window, right-click Electromagnetic Forces, FFT and choose Arrow Line.
2
In the Settings window for Arrow Line, locate the Expression section.
3
In the x-component text field, type real(Fx)/t_tot.
4
In the y-component text field, type real(Fy)/t_tot.
5
Select the Description check box. In the associated text field, type Real Force Components (Red).
6
Locate the Arrow Positioning section. From the Placement list, choose Gauss points.
7
In the Electromagnetic Forces, FFT toolbar, click  Plot.
Arrow Line 2
1
Right-click Electromagnetic Forces, FFT and choose Arrow Line.
2
In the Settings window for Arrow Line, locate the Expression section.
3
In the x-component text field, type imag(Fx)/t_tot.
4
In the y-component text field, type imag(Fy)/t_tot.
5
Select the Description check box. In the associated text field, type Imaginary Force Components (Blue).
6
Locate the Arrow Positioning section. From the Placement list, choose Gauss points.
7
Locate the Coloring and Style section. From the Color list, choose Blue.
8
In the Electromagnetic Forces, FFT toolbar, click  Plot.
The image should look like Figure 9.
Electromagnetic Forces in Selected Points, FFT, Electromagnetic Forces in Selected Points, FFT , Normalized to First Harmonic, Electromagnetic Forces in Selected Points, Time Domain, Electromagnetic Forces, FFT, Magnetic Flux Density Norm (mf)
1
In the Model Builder window, under Results, Ctrl-click to select Magnetic Flux Density Norm (mf), Electromagnetic Forces in Selected Points, Time Domain, Electromagnetic Forces in Selected Points, FFT, Electromagnetic Forces in Selected Points, FFT , Normalized to First Harmonic, and Electromagnetic Forces, FFT.
2
Electromagnetic Results
In the Settings window for Group, type Electromagnetic Results in the Label text field.
Component 2 (comp2)
Add the physics used in the Component 2.
1
In the Model Builder window, click Component 2 (comp2).
Add Physics
1
In the Home toolbar, click  Add Physics to open the Add Physics window.
2
Go to the Add Physics window.
3
Find the Physics interfaces in study subsection. In the table, clear the Solve check boxes for Study 1 - Electromagnetic Analysis and Study 2 - Electromagnetic Forces FFT.
4
In the tree, select Acoustics>Acoustic-Structure Interaction>Acoustic-Solid Interaction, Frequency Domain.
5
Click Add to Component 2 in the window toolbar.
6
In the Home toolbar, click  Add Physics to close the Add Physics window.
Pressure Acoustics, Frequency Domain (acpr)
1
In the Settings window for Pressure Acoustics, Frequency Domain, locate the Domain Selection section.
2
From the Selection list, choose Air.
Add the Exterior Field Calculation feature to obtain the acoustic field in any distant point.
Exterior Field Calculation 1
1
Right-click Component 2 (comp2)>Pressure Acoustics, Frequency Domain (acpr) and choose Exterior Field Calculation.
2
In the Settings window for Exterior Field Calculation, locate the Boundary Selection section.
3
From the Selection list, choose Exterior Field Calculation.
4
Locate the Exterior Field Calculation section. From the Condition in the z = z0 plane list, choose Symmetric/Infinite sound hard boundary.
5
In the z0 text field, type -0.073.
Solid Mechanics (solid)
1
In the Model Builder window, under Component 2 (comp2) click Solid Mechanics (solid).
2
In the Settings window for Solid Mechanics, locate the Domain Selection section.
3
From the Selection list, choose Structure.
Fixed Constraint 1
1
In the Physics toolbar, click  Boundaries and choose Fixed Constraint.
2
In the Settings window for Fixed Constraint, locate the Boundary Selection section.
3
From the Selection list, choose Fixed Boundaries.
Linear Elastic Material 1
In the Model Builder window, click Linear Elastic Material 1.
Damping 1
1
In the Physics toolbar, click  Attributes and choose Damping.
2
In the Settings window for Damping, locate the Damping Settings section.
3
From the Input parameters list, choose Damping ratios.
4
In the f1 text field, type f0.
5
In the ζ1 text field, type eta_struct.
6
In the f2 text field, type fmax.
7
In the ζ2 text field, type eta_struct.
Use the Boundary Load feature to apply the electromagnetic loads coming from the previous steps. Through the use of the withsol operator, the loads will be taken from the different harmonics of Study 2 and applied to the current physics through a parametric sweep.
Boundary Load 1
1
In the Physics toolbar, click  Boundaries and choose Boundary Load.
2
In the Settings window for Boundary Load, locate the Boundary Selection section.
3
From the Selection list, choose Loaded Boundaries.
In these expressions, tor(rpm) is the torque-speed normalized curve, comp1.genext1 is the operator that brings variables existing in the Component 1 to Component 2.
4
Locate the Force section. Specify the FA vector as
In the following steps, create a mesh that will minimize the running time while maintaining the accuracy.
Mesh 2
Free Triangular 1
1
In the Mesh toolbar, click  Boundary and choose Free Triangular.
Start by meshing a section of the motor.
2
In the Settings window for Free Triangular, locate the Boundary Selection section.
3
From the Selection list, choose Meshed Section.
Size
1
In the Model Builder window, click Size.
2
In the Settings window for Size, locate the Element Size section.
3
Click the Custom button.
4
Locate the Element Size Parameters section. In the Maximum element size text field, type c0/fmax/5.
5
In the Minimum element size text field, type 3[mm].
6
Click  Build All.
Size 1
1
In the Model Builder window, right-click Free Triangular 1 and choose Size.
2
In the Settings window for Size, locate the Element Size section.
3
Click the Custom button.
4
Locate the Element Size Parameters section.
5
Select the Maximum element size check box. In the associated text field, type 10[mm].
6
Select the Minimum element size check box. In the associated text field, type 0.3[mm].
7
Select the Maximum element growth rate check box. In the associated text field, type 1.2.
8
Select the Curvature factor check box. In the associated text field, type 0.1.
9
10
Click  Build Selected.
The image should look like this.
As the geometry is build using an assembly, it is advisable to copy the mesh so the extrapolation of displacements at the boundary is simpler.
Copy Face 1
1
In the Mesh toolbar, click  Copy and choose Copy Face.
2
3
In the Settings window for Copy Face, locate the Destination Boundaries section.
4
Click to select the  Activate Selection toggle button.
5
6
Click  Build Selected.
Swept 1
1
In the Mesh toolbar, click  Swept.
2
In the Settings window for Swept, locate the Domain Selection section.
3
From the Geometric entity level list, choose Domain.
4
From the Selection list, choose Sweep Domain.
5
Click  Build Selected.
The image should look like this.
Free Tetrahedral 1
1
In the Mesh toolbar, click  Free Tetrahedral.
2
In the Settings window for Free Tetrahedral, locate the Domain Selection section.
3
From the Geometric entity level list, choose Domain.
4
From the Selection list, choose Tetrahedral Domains.
5
Click  Build Selected.
Swept 2
1
In the Mesh toolbar, click  Swept.
2
In the Settings window for Swept, locate the Domain Selection section.
3
From the Geometric entity level list, choose Domain.
4
From the Selection list, choose PML.
Distribution 1
1
Right-click Swept 2 and choose Distribution.
2
In the Settings window for Distribution, locate the Distribution section.
3
In the Number of elements text field, type 6.
4
Click  Build Selected.
Boundary Layers 1
1
In the Mesh toolbar, click  Boundary Layers.
2
In the Settings window for Boundary Layers, locate the Geometric Entity Selection section.
3
From the Geometric entity level list, choose Domain.
4
5
Click to expand the Transition section. Clear the Smooth transition to interior mesh check box.
Boundary Layer Properties
1
In the Model Builder window, click Boundary Layer Properties.
2
In the Settings window for Boundary Layer Properties, locate the Layers section.
3
In the Number of layers text field, type 1.
4
Locate the Boundary Selection section. From the Selection list, choose Exterior Field Calculation.
5
Click  Build Selected.
The image should look like this.
Definitions (comp2)
Variables 2
1
In the Model Builder window, under Component 2 (comp2) right-click Definitions and choose Variables.
Add a few variables that will help you to postprocess the model.
2
In the Settings window for Variables, locate the Variables section.
3
Add a torque-speed normalized curve.
Torque curve
1
In the Home toolbar, click  Functions and choose Local>Analytic.
2
In the Settings window for Analytic, type Torque curve in the Label text field.
3
In the Function name text field, type tor.
4
Locate the Definition section. In the Expression text field, type if(rev<4000,1,4000/rev).
5
In the Arguments text field, type rev.
6
Locate the Units section. In the table, enter the following settings:
7
In the Function text field, type 1.
8
Locate the Plot Parameters section. In the table, enter the following settings:
9
The image should look like Figure 3.
An acoustic signal will be generated later. This signal is generated as the motor accelerates through time. Proceed to create a revolutions-time curve.
Revolutions ramp
1
In the Home toolbar, click  Functions and choose Local>Analytic.
2
In the Settings window for Analytic, type Revolutions ramp in the Label text field.
3
In the Function name text field, type rev_ramp.
4
Locate the Definition section. In the Expression text field, type 200+9800*t/20[s].
5
In the Arguments text field, type t.
6
Locate the Units section. In the table, enter the following settings:
7
In the Function text field, type rpm.
8
Locate the Plot Parameters section. In the table, enter the following settings:
9
The image should look like Figure 5.
Add a Perfectly Matched Layer domain to represent the open domain surrounding the motor.
Perfectly Matched Layer 1 (pml1)
1
In the Definitions toolbar, click  Perfectly Matched Layer.
2
In the Settings window for Perfectly Matched Layer, locate the Domain Selection section.
3
From the Selection list, choose PML.
4
Locate the Scaling section. From the Coordinate stretching type list, choose Rational.
Add Material
1
In the Home toolbar, click  Add Material to open the Add Material window.
2
Go to the Add Material window.
3
4
Click Add to Component in the window toolbar.
5
In the tree, select Built-in>Steel AISI 4340.
6
Click Add to Component in the window toolbar.
7
In the tree, select Built-in>Aluminum 6063-T83.
8
Click Add to Component in the window toolbar.
9
In the Home toolbar, click  Add Material to close the Add Material window.
Materials
Air (mat6)
1
In the Model Builder window, under Component 2 (comp2)>Materials click Air (mat6).
2
In the Settings window for Material, locate the Geometric Entity Selection section.
3
From the Selection list, choose Air.
Steel AISI 4340 (mat7)
1
In the Model Builder window, click Steel AISI 4340 (mat7).
2
In the Settings window for Material, locate the Geometric Entity Selection section.
3
From the Selection list, choose Iron.
Aluminum 6063-T83 (mat8)
1
In the Model Builder window, click Aluminum 6063-T83 (mat8).
2
In the Settings window for Material, locate the Geometric Entity Selection section.
3
From the Selection list, choose Aluminum.
Coil
1
In the Model Builder window, right-click Materials and choose Blank Material.
The coils are made of copper wires. The stiffness of the wire assembly is significantly smaller than that of copper.
2
In the Settings window for Material, type Coil in the Label text field.
3
Locate the Geometric Entity Selection section. From the Selection list, choose Coils.
4
Locate the Material Contents section. In the table, enter the following settings:
Add Study
1
In the Home toolbar, click  Add Study to open the Add Study window.
2
Go to the Add Study window.
3
Find the Physics interfaces in study subsection. In the table, clear the Solve check boxes for Magnetic Fields (mf) and Weak Form Boundary PDE (wb).
4
Find the Studies subsection. In the Select Study tree, select General Studies>Frequency Domain.
5
Click Add Study in the window toolbar.
6
In the Model Builder window, click the root node.
7
In the Home toolbar, click  Add Study to close the Add Study window.
Study 3
Step 1: Frequency Domain
This expression gives uniform steps through the sweep up to the maximum revolutions or frequency are reached.
1
In the Settings window for Frequency Domain, locate the Study Settings section.
2
In the Frequencies text field, type range(360[deg]/theta*rpm_idle*harm_exc,fdelta,min(fmax,rpm_max/rpm0*f0*harm_exc)) min(fmax,rpm_max/rpm0*f0*harm_exc).
3
Click to expand the Values of Dependent Variables section. Find the Store fields in output subsection. From the Settings list, choose For selections.
4
Under Selections, click  Add.
5
In the Add dialog box, select Exterior Field Calculation in the Selections list.
6
7
In the Model Builder window, click Study 3.
8
In the Settings window for Study, type Study 3 - Vibroacoustic Analysis - all Harmonics and Frequencies in the Label text field.
9
Locate the Study Settings section. Clear the Generate default plots check box.
Add a parametric sweep that will sequentially excite the different harmonics.
Parametric Sweep
1
In the Study toolbar, click  Parametric Sweep.
2
In the Settings window for Parametric Sweep, locate the Study Settings section.
3
4
Change the solver to a segregated solver, where the displacements will be obtained first and then used to compute the acoustic pressure.
Solution 4 (sol4)
1
In the Study toolbar, click  Show Default Solver.
2
In the Model Builder window, expand the Solution 4 (sol4) node.
3
In the Model Builder window, expand the Study 3 - Vibroacoustic Analysis - all Harmonics and Frequencies>Solver Configurations>Solution 4 (sol4)>Stationary Solver 1 node.
4
Right-click Study 3 - Vibroacoustic Analysis - all Harmonics and Frequencies>Solver Configurations>Solution 4 (sol4)>Stationary Solver 1 and choose Segregated.
5
In the Settings window for Segregated, locate the General section.
6
From the Termination technique list, choose Iterations.
7
In the Model Builder window, expand the Study 3 - Vibroacoustic Analysis - all Harmonics and Frequencies>Solver Configurations>Solution 4 (sol4)>Stationary Solver 1>Segregated 1 node, then click Segregated Step.
8
In the Settings window for Segregated Step, locate the General section.
9
In the Variables list, select Pressure (comp2.p).
10
Under Variables, click  Delete.
11
In the Model Builder window, under Study 3 - Vibroacoustic Analysis - all Harmonics and Frequencies>Solver Configurations>Solution 4 (sol4)>Stationary Solver 1 right-click Segregated 1 and choose Segregated Step.
12
In the Settings window for Segregated Step, locate the General section.
13
Under Variables, click  Add.
14
In the Add dialog box, select Pressure (comp2.p) in the Variables list.
15
16
In the Model Builder window, under Study 3 - Vibroacoustic Analysis - all Harmonics and Frequencies>Solver Configurations>Solution 4 (sol4)>Stationary Solver 1 click Suggested Direct Solver (asb1) (merged).
17
In the Settings window for Direct, locate the General section.
18
From the Solver list, choose PARDISO.
19
In the Model Builder window, click Study 3 - Vibroacoustic Analysis - all Harmonics and Frequencies.
20
In the Settings window for Study, locate the Study Settings section.
21
Clear the Generate convergence plots check box.
Due to the many frequencies requested, expect a long running time.
22
In the Study toolbar, click  Compute.
Results
Study 3 - Vibroacoustic Analysis - all Harmonics and Frequencies/Parametric Solutions 1 (6) (sol5), Study 3 - Vibroacoustic Analysis - all Harmonics and Frequencies/Solution 4 (4) (sol4), Study 3 - Vibroacoustic Analysis - all Harmonics and Frequencies/Solution 4 (5) (sol4)
1
In the Model Builder window, under Results>Datasets, Ctrl-click to select Study 3 - Vibroacoustic Analysis - all Harmonics and Frequencies/Solution 4 (4) (sol4), Study 3 - Vibroacoustic Analysis - all Harmonics and Frequencies/Solution 4 (5) (sol4), and Study 3 - Vibroacoustic Analysis - all Harmonics and Frequencies/Parametric Solutions 1 (6) (sol5).
2
Campbell Diagram, First Microphone
1
In the Home toolbar, click  Add Plot Group and choose 1D Plot Group.
2
In the Settings window for 1D Plot Group, type Campbell Diagram, First Microphone in the Label text field.
3
Locate the Data section. From the Dataset list, choose Study 3 - Vibroacoustic Analysis - all Harmonics and Frequencies/Parametric Solutions 1 (sol5).
4
Locate the Title section. From the Title type list, choose Label.
Global 1
1
Right-click Campbell Diagram, First Microphone and choose Global.
2
In the Settings window for Global, locate the y-Axis Data section.
3
4
Locate the x-Axis Data section. From the Parameter list, choose Expression.
5
In the Expression text field, type rpm.
6
From the Unit list, choose RPM.
7
Click to expand the Coloring and Style section. From the Width list, choose 3.
8
Click to expand the Legends section. Clear the Show legends check box.
Color Expression 1
1
Right-click Global 1 and choose Color Expression.
2
In the Settings window for Color Expression, locate the Expression section.
3
In the Expression text field, type spl_mic1.
4
In the Campbell Diagram, First Microphone toolbar, click  Plot.
5
Click to expand the Range section. Select the Manual color range check box.
6
In the Minimum text field, type 55.
7
In the Maximum text field, type 80.
Campbell Diagram, First Microphone
1
In the Model Builder window, under Results click Campbell Diagram, First Microphone.
2
In the Settings window for 1D Plot Group, locate the Color Legend section.
3
Select the Show maximum and minimum values check box.
4
In the Campbell Diagram, First Microphone toolbar, click  Plot.
The image should look like Figure 13.
Campbell Diagram, Second Microphone
1
Right-click Campbell Diagram, First Microphone and choose Duplicate.
2
In the Model Builder window, click Campbell Diagram, First Microphone 1.
3
In the Settings window for 1D Plot Group, type Campbell Diagram, Second Microphone in the Label text field.
Color Expression 1
1
In the Model Builder window, expand the Results>Campbell Diagram, Second Microphone>Global 1 node, then click Color Expression 1.
2
In the Settings window for Color Expression, locate the Expression section.
3
In the Expression text field, type spl_mic2.
4
Locate the Range section. In the Maximum text field, type 100.
5
In the Campbell Diagram, Second Microphone toolbar, click  Plot.
The image should look like Figure 13.
Exterior-Field Sound Pressure Level (acpr)
1
In the Home toolbar, click  Add Plot Group and choose 3D Plot Group.
2
In the Settings window for 3D Plot Group, type Exterior-Field Sound Pressure Level (acpr) in the Label text field.
3
Locate the Data section. From the Parameter value (harm_exc) list, choose 3.
4
From the Parameter value (freq (Hz)) list, choose 2600.
5
Locate the Color Legend section. Select the Show maximum and minimum values check box.
Radiation Pattern 1
1
In the Exterior-Field Sound Pressure Level (acpr) toolbar, click  More Plots and choose Radiation Pattern.
2
In the Settings window for Radiation Pattern, locate the Expression section.
3
In the Expression text field, type acpr.efc1.Lp_pext/80.
4
Select the Description check box. In the associated text field, type Exterior-field sound pressure level.
5
Clear the Use as color expression check box.
6
Click to expand the Range section. Select the Manual color range check box.
7
In the Minimum text field, type 65.
8
In the Maximum text field, type 90.
9
Locate the Evaluation section. Find the Angles subsection. In the Number of elevation angles text field, type 160.
10
In the Number of azimuth angles text field, type 240.
11
From the Restriction list, choose Manual.
12
In the θ range text field, type 90.
13
In the φ start text field, type -90.
14
In the φ range text field, type 270.
15
Find the Sphere subsection. From the Sphere list, choose Manual.
16
In the Radius text field, type 0.5.
17
Locate the Coloring and Style section. From the Grid list, choose Fine.
18
In the Exterior-Field Sound Pressure Level (acpr) toolbar, click  Plot.
Exterior-Field Sound Pressure Level (acpr)
1
In the Model Builder window, click Exterior-Field Sound Pressure Level (acpr).
2
In the Settings window for 3D Plot Group, locate the Plot Settings section.
3
Select the Plot dataset edges check box.
4
In the Exterior-Field Sound Pressure Level (acpr) toolbar, click  Plot.
5
Click the  Show Grid button in the Graphics toolbar.
The image should look like this.
Campbell Diagram, First Microphone, Campbell Diagram, Second Microphone, Exterior-Field Sound Pressure Level (acpr)
1
In the Model Builder window, under Results, Ctrl-click to select Campbell Diagram, First Microphone, Campbell Diagram, Second Microphone, and Exterior-Field Sound Pressure Level (acpr).
2
Vibroacoustic Results - all Harmonics and Frequencies
In the Settings window for Group, type Vibroacoustic Results - all Harmonics and Frequencies in the Label text field.
Pressure - Revolutions - 1st Harmonic
1
In the Results toolbar, click  Evaluation Group.
2
In the Settings window for Evaluation Group, type Pressure - Revolutions - 1st Harmonic in the Label text field.
3
Locate the Data section. From the Dataset list, choose Study 3 - Vibroacoustic Analysis - all Harmonics and Frequencies/Parametric Solutions 1 (sol5).
4
From the Parameter selection (harm_exc) list, choose From list.
5
In the Parameter values (harm_exc) list, select 1.
6
Click to expand the Format section. From the Include parameters list, choose Off.
Global Evaluation 1
1
Right-click Pressure - Revolutions - 1st Harmonic and choose Global Evaluation.
2
In the Settings window for Global Evaluation, locate the Expressions section.
3
4
In the Pressure - Revolutions - 1st Harmonic toolbar, click  Evaluate.
Pressure - Revolutions - 2nd Harmonic
1
In the Model Builder window, right-click Pressure - Revolutions - 1st Harmonic and choose Duplicate.
2
In the Settings window for Evaluation Group, type Pressure - Revolutions - 2nd Harmonic in the Label text field.
3
Locate the Data section. In the Parameter values (harm_exc) list, select 2.
4
In the Pressure - Revolutions - 2nd Harmonic toolbar, click  Evaluate.
Pressure - Revolutions - 3rd Harmonic
1
Right-click Pressure - Revolutions - 2nd Harmonic and choose Duplicate.
2
In the Settings window for Evaluation Group, type Pressure - Revolutions - 3rd Harmonic in the Label text field.
3
Locate the Data section. In the Parameter values (harm_exc) list, select 3.
4
In the Pressure - Revolutions - 3rd Harmonic toolbar, click  Evaluate.
Pressure - Revolutions - 4th Harmonic
1
Right-click Pressure - Revolutions - 3rd Harmonic and choose Duplicate.
2
In the Settings window for Evaluation Group, type Pressure - Revolutions - 4th Harmonic in the Label text field.
3
Locate the Data section. In the Parameter values (harm_exc) list, select 4.
4
In the Pressure - Revolutions - 4th Harmonic toolbar, click  Evaluate.
Pressure - Revolutions - 5th Harmonic
1
Right-click Pressure - Revolutions - 4th Harmonic and choose Duplicate.
2
In the Settings window for Evaluation Group, type Pressure - Revolutions - 5th Harmonic in the Label text field.
3
Locate the Data section. In the Parameter values (harm_exc) list, select 5.
4
In the Pressure - Revolutions - 5th Harmonic toolbar, click  Evaluate.
Pressure - Revolutions - 6th Harmonic
1
Right-click Pressure - Revolutions - 5th Harmonic and choose Duplicate.
2
In the Settings window for Evaluation Group, type Pressure - Revolutions - 6th Harmonic in the Label text field.
3
Locate the Data section. In the Parameter values (harm_exc) list, select 6.
4
In the Pressure - Revolutions - 6th Harmonic toolbar, click  Evaluate.
Pressure - Revolutions - 7th Harmonic
1
Right-click Pressure - Revolutions - 6th Harmonic and choose Duplicate.
2
In the Settings window for Evaluation Group, type Pressure - Revolutions - 7th Harmonic in the Label text field.
3
Locate the Data section. In the Parameter values (harm_exc) list, select 7.
4
In the Pressure - Revolutions - 7th Harmonic toolbar, click  Evaluate.
Pressure - Revolutions - 1st Harmonic, Pressure - Revolutions - 2nd Harmonic, Pressure - Revolutions - 3rd Harmonic, Pressure - Revolutions - 4th Harmonic, Pressure - Revolutions - 5th Harmonic, Pressure - Revolutions - 6th Harmonic, Pressure - Revolutions - 7th Harmonic
1
In the Model Builder window, under Results, Ctrl-click to select Pressure - Revolutions - 1st Harmonic, Pressure - Revolutions - 2nd Harmonic, Pressure - Revolutions - 3rd Harmonic, Pressure - Revolutions - 4th Harmonic, Pressure - Revolutions - 5th Harmonic, Pressure - Revolutions - 6th Harmonic, and Pressure - Revolutions - 7th Harmonic.
2
Acoustic Signal
In the Settings window for Group, type Acoustic Signal in the Label text field.
Definitions (comp2)
In the Model Builder window, under Component 2 (comp2) click Definitions.
Interpolation 1 (int1)
1
In the Home toolbar, click  Functions and choose Local>Interpolation.
2
In the Settings window for Interpolation, locate the Definition section.
3
From the Data source list, choose Result table.
4
Find the Functions subsection. In the table, enter the following settings:
5
Locate the Interpolation and Extrapolation section. From the Interpolation list, choose Piecewise cubic.
6
From the Extrapolation list, choose Specific value.
7
Locate the Units section. In the Argument table, enter the following settings:
8
In the Function table, enter the following settings:
9
Interpolation 2 (real1_l, imag1_l, ...)
1
Right-click Interpolation 1 (real1_l, imag1_l, ...) and choose Duplicate.
2
In the Settings window for Interpolation, locate the Definition section.
3
From the Table from list, choose Pressure - Revolutions - 2nd Harmonic.
4
Find the Functions subsection. In the table, enter the following settings:
5
Interpolation 3 (real2_l, imag2_l, ...)
1
Right-click Interpolation 2 (real2_l, imag2_l, ...) and choose Duplicate.
2
In the Settings window for Interpolation, locate the Definition section.
3
From the Table from list, choose Pressure - Revolutions - 3rd Harmonic.
4
Find the Functions subsection. In the table, enter the following settings:
5
Interpolation 4 (real3_l, imag3_l, ...)
1
Right-click Interpolation 3 (real3_l, imag3_l, ...) and choose Duplicate.
2
In the Settings window for Interpolation, locate the Definition section.
3
From the Table from list, choose Pressure - Revolutions - 4th Harmonic.
4
Find the Functions subsection. In the table, enter the following settings:
5
Interpolation 5 (real4_l, imag4_l, ...)
1
Right-click Interpolation 4 (real4_l, imag4_l, ...) and choose Duplicate.
2
In the Settings window for Interpolation, locate the Definition section.
3
From the Table from list, choose Pressure - Revolutions - 5th Harmonic.
4
Find the Functions subsection. In the table, enter the following settings:
5
Interpolation 6 (real5_l, imag5_l, ...)
1
Right-click Interpolation 5 (real5_l, imag5_l, ...) and choose Duplicate.
2
In the Settings window for Interpolation, locate the Definition section.
3
From the Table from list, choose Pressure - Revolutions - 6th Harmonic.
4
Find the Functions subsection. In the table, enter the following settings:
5
Interpolation 7 (real6_l, imag6_l, ...)
1
Right-click Interpolation 6 (real6_l, imag6_l, ...) and choose Duplicate.
2
In the Settings window for Interpolation, locate the Definition section.
3
From the Table from list, choose Pressure - Revolutions - 7th Harmonic.
4
Find the Functions subsection. In the table, enter the following settings:
5
Interpolation 1 (real1_l, imag1_l, ...), Interpolation 2 (real2_l, imag2_l, ...), Interpolation 3 (real3_l, imag3_l, ...), Interpolation 4 (real4_l, imag4_l, ...), Interpolation 5 (real5_l, imag5_l, ...), Interpolation 6 (real6_l, imag6_l, ...), Interpolation 7 (real7_l, imag7_l, ...)
1
In the Model Builder window, under Component 2 (comp2)>Definitions, Ctrl-click to select Interpolation 1 (real1_l, imag1_l, ...), Interpolation 2 (real2_l, imag2_l, ...), Interpolation 3 (real3_l, imag3_l, ...), Interpolation 4 (real4_l, imag4_l, ...), Interpolation 5 (real5_l, imag5_l, ...), Interpolation 6 (real6_l, imag6_l, ...), and Interpolation 7 (real7_l, imag7_l, ...).
2
Acoustic Signal
In the Settings window for Group, type Acoustic Signal in the Label text field.
Add Study
1
In the Home toolbar, click  Add Study to open the Add Study window.
2
Go to the Add Study window.
3
Find the Physics interfaces in study subsection. In the table, clear the Solve check boxes for Magnetic Fields (mf) and Weak Form Boundary PDE (wb).
4
Find the Studies subsection. In the Select Study tree, select General Studies>Frequency Domain.
5
Click Add Study in the window toolbar.
6
In the Model Builder window, click the root node.
7
In the Home toolbar, click  Add Study to close the Add Study window.
Study 4
Step 1: Frequency Domain
1
In the Settings window for Frequency Domain, locate the Study Settings section.
2
In the Frequencies text field, type 2360.
3
In the Model Builder window, click Study 4.
4
In the Settings window for Study, type Study 4 - Vibroacoustic Analysis - 3rd Harmonic 2360 Hz in the Label text field.
5
Locate the Study Settings section. Clear the Generate default plots check box.
6
Clear the Generate convergence plots check box.
Change the solver to a segregated solver, where the displacements will be obtained first and then used to compute the acoustic pressure.
Solution 13 (sol13)
1
In the Study toolbar, click  Show Default Solver.
2
In the Model Builder window, expand the Solution 13 (sol13) node.
3
In the Model Builder window, expand the Study 4 - Vibroacoustic Analysis - 3rd Harmonic 2360 Hz>Solver Configurations>Solution 13 (sol13)>Stationary Solver 1 node.
4
Right-click Study 4 - Vibroacoustic Analysis - 3rd Harmonic 2360 Hz>Solver Configurations>Solution 13 (sol13)>Stationary Solver 1 and choose Segregated.
5
In the Settings window for Segregated, locate the General section.
6
From the Termination technique list, choose Iterations.
7
In the Model Builder window, expand the Study 4 - Vibroacoustic Analysis - 3rd Harmonic 2360 Hz>Solver Configurations>Solution 13 (sol13)>Stationary Solver 1>Segregated 1 node, then click Segregated Step.
8
In the Settings window for Segregated Step, locate the General section.
9
In the Variables list, select Pressure (comp2.p).
10
Under Variables, click  Delete.
11
In the Model Builder window, under Study 4 - Vibroacoustic Analysis - 3rd Harmonic 2360 Hz>Solver Configurations>Solution 13 (sol13)>Stationary Solver 1 right-click Segregated 1 and choose Segregated Step.
12
In the Settings window for Segregated Step, locate the General section.
13
Under Variables, click  Add.
14
In the Add dialog box, select Pressure (comp2.p) in the Variables list.
15
16
In the Study toolbar, click  Compute.
Results
Study 4 - Vibroacoustic Analysis - 3rd Harmonic 2360 Hz/Solution 13 (8) (sol13)
In the Model Builder window, under Results>Datasets right-click Study 4 - Vibroacoustic Analysis - 3rd Harmonic 2360 Hz/Solution 13 (8) (sol13) and choose Delete.
Grid 1D 1
1
In the Results toolbar, click  More Datasets and choose Grid>Grid 1D.
2
In the Settings window for Grid 1D, locate the Data section.
3
From the Dataset list, choose Study 4 - Vibroacoustic Analysis - 3rd Harmonic 2360 Hz/Solution 13 (sol13).
4
Locate the Parameter Bounds section. In the Name text field, type tt.
5
In the Maximum text field, type 20.
6
Click to expand the Grid section. In the Resolution text field, type 960000.
7
Clear the Adaptive check box.
Acoustic Signal
1
In the Results toolbar, click  1D Plot Group.
2
In the Settings window for 1D Plot Group, type Acoustic Signal in the Label text field.
3
Locate the Data section. From the Dataset list, choose Grid 1D 1.
4
Locate the Title section. From the Title type list, choose Label.
5
Locate the Plot Settings section.
6
Select the y-axis label check box. In the associated text field, type Signal (Pa).
Left Channel
1
Right-click Acoustic Signal and choose Line Graph.
2
In the Settings window for Line Graph, type Left Channel in the Label text field.
3
Locate the y-Axis Data section.
4
Select the Description check box. In the associated text field, type Left Channel.
5
In the Expression text field, type real((real1_l(rev_ramp(tt))+i*imag1_l(rev_ramp(tt)))*exp(i*(rev_ramp(tt))*f0/rpm0*1*pi*tt)+(real2_l(rev_ramp(tt))+i*imag2_l(rev_ramp(tt)))*exp(i*(rev_ramp(tt))*f0/rpm0*2*pi*tt)+(real3_l(rev_ramp(tt))+i*imag3_l(rev_ramp(tt)))*exp(i*(rev_ramp(tt))*f0/rpm0*3*pi*tt)+(real4_l(rev_ramp(tt))+i*imag4_l(rev_ramp(tt)))*exp(i*(rev_ramp(tt))*f0/rpm0*4*pi*tt)+(real5_l(rev_ramp(tt))+i*imag5_l(rev_ramp(tt)))*exp(i*(rev_ramp(tt))*f0/rpm0*5*pi*tt)+(real6_l(rev_ramp(tt))+i*imag6_l(rev_ramp(tt)))*exp(i*(rev_ramp(tt))*f0/rpm0*6*pi*tt)+(real7_l(rev_ramp(tt))+i*imag7_l(rev_ramp(tt)))*exp(i*(rev_ramp(tt))*f0/rpm0*7*pi*tt)).
6
Locate the x-Axis Data section. From the Parameter list, choose Expression.
7
In the Expression text field, type tt[s/m].
8
Select the Description check box. In the associated text field, type time.
9
Click to expand the Legends section. Select the Show legends check box.
10
From the Legends list, choose Manual.
11
12
In the Acoustic Signal toolbar, click  Plot.
Right Channel
1
Right-click Left Channel and choose Duplicate.
2
In the Settings window for Line Graph, locate the y-Axis Data section.
3
In the Description text field, type Right Channel.
4
In the Expression text field, type real((real1_r(rev_ramp(tt))+i*imag1_r(rev_ramp(tt)))*exp(i*(rev_ramp(tt))*f0/rpm0*1*pi*tt)+(real2_r(rev_ramp(tt))+i*imag2_r(rev_ramp(tt)))*exp(i*(rev_ramp(tt))*f0/rpm0*2*pi*tt)+(real3_r(rev_ramp(tt))+i*imag3_r(rev_ramp(tt)))*exp(i*(rev_ramp(tt))*f0/rpm0*3*pi*tt)+(real4_r(rev_ramp(tt))+i*imag4_r(rev_ramp(tt)))*exp(i*(rev_ramp(tt))*f0/rpm0*4*pi*tt)+(real5_r(rev_ramp(tt))+i*imag5_r(rev_ramp(tt)))*exp(i*(rev_ramp(tt))*f0/rpm0*5*pi*tt)+(real6_r(rev_ramp(tt))+i*imag6_r(rev_ramp(tt)))*exp(i*(rev_ramp(tt))*f0/rpm0*6*pi*tt)+(real7_r(rev_ramp(tt))+i*imag7_r(rev_ramp(tt)))*exp(i*(rev_ramp(tt))*f0/rpm0*7*pi*tt)).
5
In the Label text field, type Right Channel.
6
Locate the Legends section. In the table, enter the following settings:
7
In the Acoustic Signal toolbar, click  Plot.
The image should look like this.
Left Channel Acoustic Signal
1
In the Model Builder window, under Results>Vibroacoustic Results - all Harmonics and Frequencies>Acoustic Signal right-click Left Channel and choose Add Plot Data to Export.
2
In the Settings window for Plot, type Left Channel Acoustic Signal in the Label text field.
3
Locate the Output section. From the File type list, choose WAVE audio file (*.wav).
4
In the Filename text field, type electric_motor_noise_left.wav.
5
Click Export to produce a WAV-file with the acoustic signal at the left channel.
Right Channel Acoustic Signal
1
In the Model Builder window, under Results>Vibroacoustic Results - all Harmonics and Frequencies>Acoustic Signal right-click Right Channel and choose Add Plot Data to Export.
2
In the Settings window for Plot, type Right Channel Acoustic Signal in the Label text field.
3
Locate the Output section. From the File type list, choose WAVE audio file (*.wav).
4
In the Filename text field, type electric_motor_noise_right.wav.
5
Click Export to produce a WAV-file with the acoustic signal at the right channel.
Displacement and Acoustic Pressure
1
In the Home toolbar, click  Add Plot Group and choose 3D Plot Group.
2
In the Settings window for 3D Plot Group, type Displacement and Acoustic Pressure in the Label text field.
3
Locate the Data section. From the Dataset list, choose Study 4 - Vibroacoustic Analysis - 3rd Harmonic 2360 Hz/Solution 13 (sol13).
4
Locate the Plot Settings section. Clear the Plot dataset edges check box.
5
Locate the Color Legend section. Select the Show maximum and minimum values check box.
Surface 1
1
Right-click Displacement and Acoustic Pressure and choose Surface.
2
In the Settings window for Surface, locate the Expression section.
3
In the Expression text field, type solid.disp.
Deformation 1
Right-click Surface 1 and choose Deformation.
Filter 1
1
In the Model Builder window, right-click Surface 1 and choose Filter.
2
In the Settings window for Filter, locate the Element Selection section.
3
In the Logical expression for inclusion text field, type x>-40.5[mm].
4
In the Displacement and Acoustic Pressure toolbar, click  Plot.
Line 1
1
In the Model Builder window, right-click Displacement and Acoustic Pressure and choose Line.
2
In the Settings window for Line, locate the Expression section.
3
In the Expression text field, type 0.
4
Click to expand the Title section. From the Title type list, choose None.
5
Locate the Coloring and Style section. From the Coloring list, choose Uniform.
6
From the Color list, choose Black.
Deformation 1
In the Model Builder window, under Results>Displacement and Acoustic Pressure>Surface 1 right-click Deformation 1 and choose Copy.
Deformation 1
In the Model Builder window, right-click Line 1 and choose Paste Deformation.
Filter 1
In the Model Builder window, under Results>Displacement and Acoustic Pressure>Surface 1 right-click Filter 1 and choose Copy.
Filter 1
In the Model Builder window, right-click Line 1 and choose Paste Filter.
Line 1
1
In the Settings window for Line, click to expand the Inherit Style section.
2
From the Plot list, choose Surface 1.
3
Clear the Color check box.
4
Clear the Color and data range check box.
5
In the Displacement and Acoustic Pressure toolbar, click  Plot.
Isosurface 1
1
In the Model Builder window, right-click Displacement and Acoustic Pressure and choose Isosurface.
2
In the Settings window for Isosurface, locate the Levels section.
3
In the Total levels text field, type 11.
4
Locate the Coloring and Style section. Click  Change Color Table.
5
In the Color Table dialog box, select Wave>Wave in the tree.
6
7
In the Settings window for Isosurface, locate the Coloring and Style section.
8
From the Scale list, choose Linear symmetric.
Selection 1
1
Right-click Isosurface 1 and choose Selection.
2
Filter 1
In the Model Builder window, under Results>Displacement and Acoustic Pressure>Line 1 right-click Filter 1 and choose Copy.
Filter 1
In the Model Builder window, right-click Isosurface 1 and choose Paste Filter.
Displacement and Acoustic Pressure
1
In the Displacement and Acoustic Pressure toolbar, click  Plot.
The image should look like Figure 11.
SPL and Radiation Pattern
1
In the Home toolbar, click  Add Plot Group and choose 3D Plot Group.
2
In the Settings window for 3D Plot Group, type SPL and Radiation Pattern in the Label text field.
3
Locate the Data section. From the Dataset list, choose Study 4 - Vibroacoustic Analysis - 3rd Harmonic 2360 Hz/Solution 13 (sol13).
4
Locate the Plot Settings section. From the View list, choose New view.
5
Click to expand the Selection section. From the Geometric entity level list, choose Domain.
6
From the Selection list, choose Structure.
7
Locate the Plot Settings section. Clear the Plot dataset edges check box.
Surface 1
1
Right-click SPL and Radiation Pattern and choose Surface.
2
In the Settings window for Surface, locate the Expression section.
3
In the Expression text field, type acpr.Lp.
4
Click to expand the Range section. Select the Manual color range check box.
5
In the Minimum text field, type 80.
6
In the Maximum text field, type 115.
Deformation 1
Right-click Surface 1 and choose Deformation.
Line 1
1
In the Model Builder window, right-click SPL and Radiation Pattern and choose Line.
2
In the Settings window for Line, locate the Expression section.
3
In the Expression text field, type 0.
4
Locate the Title section. From the Title type list, choose None.
5
Locate the Coloring and Style section. From the Coloring list, choose Uniform.
6
From the Color list, choose Black.
7
Locate the Inherit Style section. From the Plot list, choose Surface 1.
8
Clear the Color check box.
9
Clear the Color and data range check box.
Deformation 1
Right-click Line 1 and choose Deformation.
Radiation Pattern 1
1
In the Model Builder window, expand the Results>Vibroacoustic Results - all Harmonics and Frequencies>Exterior-Field Sound Pressure Level (acpr) node.
2
Right-click Radiation Pattern 1 and choose Copy.
Radiation Pattern 1
1
In the Model Builder window, right-click SPL and Radiation Pattern and choose Paste Radiation Pattern.
2
In the Settings window for Radiation Pattern, locate the Evaluation section.
3
Find the Angles subsection. In the φ range text field, type 360.
Transparency 1
1
Right-click Radiation Pattern 1 and choose Transparency.
2
Click the  Zoom Extents button in the Graphics toolbar.
The image should look like Figure 12.
Boundary Loads
1
In the Home toolbar, click  Add Plot Group and choose 3D Plot Group.
2
In the Settings window for 3D Plot Group, type Boundary Loads in the Label text field.
3
Locate the Data section. From the Dataset list, choose Study 4 - Vibroacoustic Analysis - 3rd Harmonic 2360 Hz/Solution 13 (sol13).
4
Locate the Selection section. From the Geometric entity level list, choose Domain.
5
From the Selection list, choose Structure.
6
Select the Apply to dataset edges check box.
Arrow Surface 1
1
Right-click Boundary Loads and choose Arrow Surface.
2
In the Settings window for Arrow Surface, locate the Expression section.
3
In the X-component text field, type solid.bndl1.F_Ax.
4
In the Y-component text field, type solid.bndl1.F_Ay.
5
In the Z-component text field, type solid.bndl1.F_Az.
6
Locate the Arrow Positioning section. From the Placement list, choose Gauss points.
Color Expression 1
1
Right-click Arrow Surface 1 and choose Color Expression.
2
In the Settings window for Color Expression, locate the Expression section.
3
In the Expression text field, type comp2.solid.bndl1.F_A_Mag.
4
Locate the Coloring and Style section. From the Coloring list, choose Gradient.
5
From the Top color list, choose Red.
6
Click the  Orthographic Projection button in the Graphics toolbar.
7
Click the  Go to YZ View button in the Graphics toolbar.
The image should look like Figure 10.
Boundary Loads, Displacement and Acoustic Pressure, SPL and Radiation Pattern
1
In the Model Builder window, under Results, Ctrl-click to select Displacement and Acoustic Pressure, SPL and Radiation Pattern, and Boundary Loads.
2
Vibroacoustic Results - 3rd Harmonic 2360 Hz
In the Settings window for Group, type Vibroacoustic Results - 3rd Harmonic 2360 Hz in the Label text field.
 
Geometry Sequence Instructions
From the File menu, choose New.
New
In the New window, click  Model Wizard.
Model Wizard
1
In the Model Wizard window, click  3D.
2
Global Definitions
Parameters 1
1
In the Model Builder window, under Global Definitions click Parameters 1.
2
In the Settings window for Parameters, locate the Parameters section.
3
Click  Load from File.
4
Browse to the model’s Application Libraries folder and double-click the file electric_motor_noise_pmsm_geom_sequence_parameters.txt.
Geometry 1
Import 1 (imp1)
1
In the Home toolbar, click  Import.
2
In the Settings window for Import, locate the Import section.
3
From the Source list, choose COMSOL Multiphysics file.
4
Click  Browse.
5
6
Click  Import.
7
Click the  Wireframe Rendering button in the Graphics toolbar.
Work Plane 1 (wp1)
1
In the Geometry toolbar, click  Work Plane.
2
In the Settings window for Work Plane, locate the Plane Definition section.
3
From the Plane list, choose yz-plane.
4
From the Offset type list, choose Through vertex.
5
Find the Offset vertex subsection. Click to select the  Activate Selection toggle button.
6
On the object imp1, select Point 372 only.
Work Plane 1 (wp1)>Plane Geometry
In the Model Builder window, click Plane Geometry.
Work Plane 1 (wp1)>Circle 1 (c1)
1
In the Work Plane toolbar, click  Circle.
2
In the Settings window for Circle, locate the Size and Shape section.
3
In the Radius text field, type r_stator.
4
Click to expand the Layers section. In the table, enter the following settings:
5
Click  Build Selected.
Work Plane 1 (wp1)>Polygon 1 (pol1)
1
In the Work Plane toolbar, click  Polygon.
2
In the Settings window for Polygon, locate the Coordinates section.
3
4
Click  Build Selected.
Work Plane 1 (wp1)>Polygon 2 (pol2)
1
In the Work Plane toolbar, click  Polygon.
2
In the Settings window for Polygon, locate the Coordinates section.
3
4
Click  Build Selected.
Work Plane 1 (wp1)>Union 1 (uni1)
1
In the Work Plane toolbar, click  Booleans and Partitions and choose Union.
2
Select the objects pol1 and pol2 only.
3
In the Settings window for Union, click  Build Selected.
Work Plane 1 (wp1)>Delete Entities 1 (del1)
1
Right-click Plane Geometry and choose Delete Entities.
2
On the object c1, select Boundaries 1–12 only.
3
On the object uni1, select Boundaries 1, 4, 5, and 12–14 only.
4
In the Settings window for Delete Entities, click  Build Selected.
Work Plane 1 (wp1)>Rotate 1 (rot1)
1
In the Work Plane toolbar, click  Transforms and choose Rotate.
2
Select the object del1(2) only.
3
In the Settings window for Rotate, locate the Rotation section.
4
In the Angle text field, type range(360/(3*n_sectors),360/(3*n_sectors),360).
5
Click  Build Selected.
Work Plane 1 (wp1)>Union 2 (uni2)
1
In the Work Plane toolbar, click  Booleans and Partitions and choose Union.
2
Click in the Graphics window and then press Ctrl+A to select all objects.
3
In the Settings window for Union, click  Build Selected.
Work Plane 1 (wp1)>Delete Entities 2 (del2)
1
Right-click Plane Geometry and choose Delete Entities.
2
On the object uni2, select Boundaries 75, 76, 83, 84, 91, 92, 99–102, 113, 114, 121–124, 127, 128, 135, and 136 only.
3
In the Settings window for Delete Entities, click  Build Selected.
Work Plane 1 (wp1)>Delete Entities 3 (del3)
1
Right-click Plane Geometry and choose Delete Entities.
2
In the Settings window for Delete Entities, locate the Entities or Objects to Delete section.
3
From the Geometric entity level list, choose Domain.
4
On the object del2, select Domain 21 only.
5
Click  Build Selected.
Work Plane 1 (wp1)>Fillet 1 (fil1)
1
In the Work Plane toolbar, click  Fillet.
2
On the object del3, select Points 22–25, 38–41, 54, 55, 58, 59, 70–73, 81, and 82 only.
3
In the Settings window for Fillet, locate the Radius section.
4
In the Radius text field, type fillet.
5
Click  Build Selected.
Extrude 1 (ext1)
1
In the Model Builder window, under Component 1 (comp1)>Geometry 1 right-click Work Plane 1 (wp1) and choose Extrude.
2
In the Settings window for Extrude, locate the Distances section.
3
From the Specify list, choose Vertices to extrude to.
4
On the object imp1, select Point 490 only.
5
Click  Build Selected.
Union 1 (uni1)
1
In the Geometry toolbar, click  Booleans and Partitions and choose Union.
2
Click in the Graphics window and then press Ctrl+A to select both objects.
3
In the Settings window for Union, click  Build Selected.
Work Plane 2 (wp2)
1
In the Geometry toolbar, click  Work Plane.
2
In the Settings window for Work Plane, locate the Plane Definition section.
3
From the Plane list, choose yz-plane.
4
From the Offset type list, choose Through vertex.
5
Find the Offset vertex subsection. Click to select the  Activate Selection toggle button.
6
On the object uni1, select Point 422 only.
Work Plane 2 (wp2)>Plane Geometry
In the Model Builder window, click Plane Geometry.
Work Plane 2 (wp2)>Circle 1 (c1)
1
In the Work Plane toolbar, click  Circle.
2
In the Settings window for Circle, locate the Size and Shape section.
3
In the Radius text field, type r_stator-h_stat-air_gap/2.
4
Locate the Layers section. In the table, enter the following settings:
5
Click  Build Selected.
Work Plane 2 (wp2)>Line Segment 1 (ls1)
1
In the Work Plane toolbar, click  More Primitives and choose Line Segment.
2
In the Settings window for Line Segment, locate the Starting Point section.
3
From the Specify list, choose Coordinates.
4
In the xw text field, type (r_stator-h_stat-air_gap-th_magnet)*cos(-angle_magnet/2).
5
In the yw text field, type (r_stator-h_stat-air_gap-th_magnet)*sin(-angle_magnet/2).
6
Locate the Endpoint section. From the Specify list, choose Coordinates.
7
In the xw text field, type (r_stator-h_stat-air_gap)*cos(-angle_magnet/2).
8
In the yw text field, type (r_stator-h_stat-air_gap)*sin(-angle_magnet/2).
9
Click  Build Selected.
Work Plane 2 (wp2)>Rotate 1 (rot1)
1
In the Work Plane toolbar, click  Transforms and choose Rotate.
2
3
In the Settings window for Rotate, locate the Rotation section.
4
In the Angle text field, type range(360/(n_poles),360/(n_poles),360) range(360/(n_poles)+angle_magnet,360/(n_poles),360+angle_magnet).
5
Click  Build Selected.
Work Plane 2 (wp2)>Union 1 (uni1)
1
In the Work Plane toolbar, click  Booleans and Partitions and choose Union.
2
3
Click the  Select All button in the Graphics toolbar.
4
In the Settings window for Union, click  Build Selected.
Work Plane 2 (wp2)>Delete Entities 1 (del1)
1
Right-click Plane Geometry and choose Delete Entities.
2
On the object uni1, select Boundaries 1, 2, 5, 10–15, 18, 23, 24, 27, 28, 35, 36, 57, 58, 63, and 64 only.
3
In the Settings window for Delete Entities, click  Build Selected.
Work Plane 2 (wp2)>Fillet 1 (fil1)
1
In the Work Plane toolbar, click  Fillet.
2
On the object del1, select Points 2, 3, 7–10, 29–32, 36, and 37 only.
3
In the Settings window for Fillet, locate the Radius section.
4
In the Radius text field, type fillet.
5
Click  Build Selected.
Extrude 2 (ext2)
1
In the Model Builder window, under Component 1 (comp1)>Geometry 1 right-click Work Plane 2 (wp2) and choose Extrude.
2
In the Settings window for Extrude, locate the Distances section.
3
From the Specify list, choose Vertices to extrude to.
4
On the object uni1, select Point 656 only.
5
Click  Build Selected.
Work Plane 3 (wp3)
1
In the Geometry toolbar, click  Work Plane.
2
In the Settings window for Work Plane, locate the Plane Definition section.
3
From the Plane list, choose yz-plane.
4
Click  Build Selected.
Form Union (fin)
1
In the Model Builder window, under Component 1 (comp1)>Geometry 1 click Form Union (fin).
2
In the Settings window for Form Union/Assembly, locate the Form Union/Assembly section.
3
From the Action list, choose Form an assembly.
4
In the Geometry toolbar, click  Build All.
Iron
1
In the Geometry toolbar, click  Selections and choose Explicit Selection.
2
In the Settings window for Explicit Selection, type Iron in the Label text field.
3
On the object fin, select Domains 13, 24, and 49 only.
Coils
1
In the Geometry toolbar, click  Selections and choose Explicit Selection.
2
In the Settings window for Explicit Selection, type Coils in the Label text field.
3
On the object fin, select Domains 25, 26, and 28–43 only.
Aluminum
1
In the Geometry toolbar, click  Selections and choose Explicit Selection.
2
In the Settings window for Explicit Selection, type Aluminum in the Label text field.
3
On the object fin, select Domains 14–17, 19–22, 45–47, and 50–52 only.
Structure
1
In the Geometry toolbar, click  Selections and choose Union Selection.
2
In the Settings window for Union Selection, type Structure in the Label text field.
3
Locate the Input Entities section. Click  Add.
4
In the Add dialog box, in the Selections to add list, choose Iron, Coils, and Aluminum.
5
Interior Cavity
1
In the Geometry toolbar, click  Selections and choose Explicit Selection.
2
In the Settings window for Explicit Selection, type Interior Cavity in the Label text field.
3
On the object fin, select Domains 18, 23–44, 48, and 59–67 only.
PML
1
In the Geometry toolbar, click  Selections and choose Explicit Selection.
2
In the Settings window for Explicit Selection, type PML in the Label text field.
3
On the object fin, select Domains 1–8, 10–12, and 53–58 only.
Air
1
In the Geometry toolbar, click  Selections and choose Complement Selection.
2
In the Settings window for Complement Selection, type Air in the Label text field.
3
Locate the Input Entities section. Click  Add.
4
In the Add dialog box, in the Selections to invert list, choose Structure and Interior Cavity.
5
Loaded Boundaries
1
In the Geometry toolbar, click  Selections and choose Explicit Selection.
2
In the Settings window for Explicit Selection, type Loaded Boundaries in the Label text field.
3
Locate the Entities to Select section. From the Geometric entity level list, choose Boundary.
4
On the object fin, select Boundaries 335, 336, 338, 339, 347, 349, 352, 355, 359, 360, 366, 367, 371, 372, 374, 375, 377, 378, 380–385, 389–394, 396, 398, 401, 402, 404, 407, 413–422, 425–428, 438–441, 444, 446–448, 450, 451, 456, 457, 460–463, 466, 469–477, 486–495, 497, 498, 500, 501, 506, 509, 514–517, 520, 521, 523, 524, 526, 529, 532–537, and 553–556 only.
Exterior Field Calculation
1
In the Geometry toolbar, click  Selections and choose Explicit Selection.
2
In the Settings window for Explicit Selection, type Exterior Field Calculation in the Label text field.
3
Locate the Entities to Select section. From the Geometric entity level list, choose Boundary.
4
On the object fin, select Boundaries 31, 32, 36, 39, and 924 only.
Fixed Boundaries
1
In the Geometry toolbar, click  Selections and choose Explicit Selection.
2
In the Settings window for Explicit Selection, type Fixed Boundaries in the Label text field.
3
Locate the Entities to Select section. From the Geometric entity level list, choose Boundary.
4
On the object fin, select Boundaries 213, 214, 217, 247, 249, 257, 291, 292, 294–297, 299, 300, 581, 582, 597, 690, 692, 719, 725, 726, 728–731, 733, and 734 only.
Meshed Section
1
In the Geometry toolbar, click  Selections and choose Explicit Selection.
2
In the Settings window for Explicit Selection, type Meshed Section in the Label text field.
3
Locate the Entities to Select section. From the Geometric entity level list, choose Boundary.
4
On the object fin, select Boundaries 301, 306, 317, 331, 334, 337, 351, 354, 376, 379, 403, 406, 431, 437, 445, 464, 467, 496, 499, 505, 508, 525, 528, 538, 949, 952, 957, 966, 969, 976, 993, and 996 only.
Sweep Domain
1
In the Geometry toolbar, click  Selections and choose Explicit Selection.
2
In the Settings window for Explicit Selection, type Sweep Domain in the Label text field.
3
On the object fin, select Domains 13, 21–26, 28–44, 49, and 60–67 only.
Tetrahedral Domains
1
In the Geometry toolbar, click  Selections and choose Complement Selection.
2
In the Settings window for Complement Selection, type Tetrahedral Domains in the Label text field.
3
Locate the Input Entities section. Click  Add.
4
In the Add dialog box, in the Selections to invert list, choose Interior Cavity, PML, and Sweep Domain.
5